Version interactive avec LaTeX compilé
ECOLE DES PONTS PARISTECH, SUPAERO (ISAE), ENSTA PARISTECH, TELECOM PARISTECH, MINES PARISTECH, MINES DE SAINT-ETIENNE, MINES DE NANCY, TELECOM BRETAGNE, ENSAE PARISTECH (FILIERE MP) ECOLE POLYTECHNIQUE (FILIERE TSI)
CONCOURS 2012
EPREUVE d'INFORMATIQUE
Filière : MP
Durée de l'épreuve : 3 heures. L'utilisation d'une calculatrice est autorisée.
EPREUVE d'INFORMATIQUE
Filière : MP
Durée de l'épreuve : 3 heures. L'utilisation d'une calculatrice est autorisée.
Sujet mis à la disposition des concours : Cycle International, ecoles des Mines, TELECOM SudParis, TPE-EIVP.
L'énoncé de cette épreuve comporte 14 pages.
Les candidats sont priés de mentionner de façon apparente
sur la première page de la copie :
INFORMATIQUE - MP
sur la première page de la copie :
INFORMATIQUE - MP
Recommandations aux candidats
- Si, au cours de l'épreuve, un candidat repère ce qui lui semble être une erreur d'énoncé, il le signale sur sa copie et poursuit sa composition en expliquant les raisons des initiatives qu'il est amené à prendre.
- Tout résultat fourni dans l'énoncé peut être utilisé pour les questions ultérieures même s’il n’a pas été démontré.
- Il ne faut pas hésiter à formuler les commentaires qui semblent pertinents même lorsque l'énoncé ne le demande pas explicitement.
Composition de l'épreuve
L'épreuve comporte :
- un exercice sur les langages rationnels : page 2
- un problème d'algorithmique et programmation : pages 3 à 14
Exercice sur les langages rationnels
Un alphabet
est un ensemble fini non vide d'éléments appelés lettres. Un mot sur
est une suite finie de lettres de
; la longueur d'un mot
est le nombre de lettres composant
; le mot de longueur nulle est noté
. On désigne par
l'ensemble des mots sur
, y compris le mot
. Un langage sur
est une partie de
.
On dit qu'un mot
sur
, de longueur non nulle, est un facteur d'un mot
sur
s'il existe deux mots
et
sur
avec
; si
est le mot de longueur nulle, on dit que
est un préfixe de
; si
est le mot de longueur nulle, on dit que
est un suffixe de
.
Un mot peut posséder plusieurs occurrences d'un même facteur
. Supposons que l'on ait
et
. Le mot baabaabbaabaaa contient deux occurrences disjointes du facteur
, de même que le mot aabaaaabaaa. Le mot abaabaaabaabb contient deux occurrences non disjointes du facteur
, de même que le mot aabaabaa ; dans ce dernier cas, la première occurrence de
est un préfixe du mot aabaabaa alors que la seconde occurrence en est un suffixe.
Dans tout l'exercice,
désigne un alphabet et
désigne un mot de longueur non nulle sur
.
1 - Montrer que le langage
2 - Montrer que le langage
3 - Montrer que le langage
4 - Montrer que le langage
Problème d'algorithmique et programmation
Préliminaire concernant la programmation
Il faudra écrire des fonctions ou des procédures à l'aide d'un langage de programmation qui pourra être soit Caml, soit Pascal, tout autre langage étant exclu. Indiquer en début d'épreuve le langage de programmation choisi; il est interdit de modifier ce choix au cours de l'épreuve. Certaines questions du problème sont formulées différemment selon le langage de programmation ; cela est indiqué chaque fois que cela est nécessaire. Lorsque le candidat écrira une fonction ou une procédure, il pourra faire appel à une autre fonction ou procédure définie dans les questions précédentes. Enfin, si les paramètres d'une fonction ou d'une procédure à écrire sont supposés vérifier certaines hypothèses, il ne sera pas utile dans l'écriture de cette fonction ou de cette procédure de tester si les hypothèses sont bien vérifiées.
Dans les énoncés du problème, un même identificateur écrit dans deux polices de caractères différentes désignera la même entité, mais du point de vue mathématique pour la police en italique (par exemple ) et du point de vue informatique pour celle en romain (par exemple n ).
Dans les énoncés du problème, un même identificateur écrit dans deux polices de caractères différentes désignera la même entité, mais du point de vue mathématique pour la police en italique (par exemple
Un graphe
est défini par deux ensembles
et
. L'ensemble
est un ensemble fini d'éléments appelés sommets. L'ensemble
est un ensemble de paires de sommets. Un élément
de
est appelé arête de
et
sont les extrémités de l'arête. L'ordre d'un graphe
est le nombre de sommets de
. Un graphe est représenté par un dessin où des cercles représentent les sommets et un trait joignant deux cercles représente une arête composée des deux sommets correspondant aux cercles. Si
est une arête de
, on dit que
et
sont voisins. Le degré d'un sommet
est le nombre de voisins de
.
On dit que deux arêtes d'un graphe sont incidentes si elles ont une extrémité en commun. On appelle couplage dans
un ensemble d'arêtes de
deux à deux non incidentes.
Un graphe est dit biparti si on peut partitionner son ensemble de sommets
en deux sous-ensembles
et
de sorte que toute arête ait une extrémité dans
et une extrémité dans
. Si les ensembles
et
ont même cardinal, on dit qu'il s'agit d'un graphe biparti équilibré. Dans tout le problème, on ne considère que des graphes bipartis équilibrés. On note
le cardinal commun aux ensembles
et
; l'ordre du graphe est donc égal à
. On suppose que l'on a toujours
. Les sommets de
sont numérotés de 0 à
et nommés
; les sommets de
sont numérotés de 0 à
et nommés
. Une arête de
est toujours écrite en mettant d'abord l'extrémité qui est dans
puis celle qui est dans
.
On dit que deux arêtes d'un graphe
Un graphe
On représente les graphes bipartis équilibrés par des schémas comme on peut le voir dans la figure 1 avec le graphe
, en représentant les sommets de
à gauche et les sommets de
à droite.
Pour
vaut 4 et l'ordre de
vaut 8 . Les arêtes de
sont:
,
,
.
Le sommet est de degré 3 .
Le sommet est de degré 1 .
Le sommet est de degré 4 .
Le sommet est de degré 1 .
Les sommets et
sont de degré 2 .
Le sommet est de degré 3 .
Le sommet
Le sommet
Le sommet
Le sommet
Les sommets
Le sommet

Figure 1 : le graphe
Dans le graphe
, les arêtes
et
étant non incidentes, elles forment un couplage, nommé
, dont les arêtes sont dessinées en gras ci-contre ; on dit alors que dans ce couplage :
- le sommet
est couplé au sommet , et réciproquement ; - le sommet
est couplé au sommet , et réciproquement ; - les sommets
et sont non couplés.

Figure 2 : le graphe
et le couplage
Le cardinal d'un couplage est le nombre d'arêtes de celui-ci ; par exemple le cardinal de
vaut 2.
Première partie : généralités
5 - Exhiber un couplage de cardinal 3 dans
.
6 - Indiquer s'il existe dans un couplage de cardinal 4. Justifier la réponse.
Un graphe biparti équilibré d’ordre est représenté par une matrice carrée de dimension
dont les lignes correspondent aux éléments de
et les colonnes aux éléments de
. Les cases de cette matrice sont indicées par (
) avec
et contiennent des valeurs booléennes: la case d'indice (
) contient la valeur «vrai» (ou true dans le langage de programmation) si
est une arête du graphe ; elle contient la valeur «faux» (ou false dans le langage de programmation) dans le cas contraire. Le graphe
ci-dessus est donc représenté par la matrice suivante :
6 - Indiquer s'il existe dans
Un graphe biparti équilibré d’ordre
|
|
0 | 1 | 2 | 3 |
| 0 | vrai | vrai | vrai | faux |
| 1 | faux | faux | faux | vrai |
| 2 | vrai | vrai | vrai | vrai |
| 3 | faux | faux | faux | vrai |
Figure 3 : la matrice représentant
Un couplage est représenté par un tableau d'entiers indicé de 0 à
. Soit
vérifiant
; si le sommet
est couplé avec le sommet
, la case d'indice
contient la valeur
; si le sommet
n'est pas couplé, la case d'indice
contient une valeur égale à -1 . Le couplage
de
, formé des arêtes
et
, est représenté par le tableau cidessous :
|
|
0 | 1 | 2 | 3 |
| 0 | -1 | 3 | -1 |
Figure 4 : le tableau représentant
Indications pour la programmation
Caml : Un vecteur est par la suite nommé aussi tableau.
On nomme matrice un tableau à deux dimensions (un vecteur de vecteurs).
La matrice représentant un graphe biparti équilibré d'ordre est codée en Caml par une matrice
de booléens. La matrice représentant
est ainsi codée par :
On nomme matrice un tableau à deux dimensions (un vecteur de vecteurs).
La matrice représentant un graphe biparti équilibré d'ordre
let G0 = [|[|true; true; true; false|];
[|false; false; false; true|];
[|true; true; true; true|];
[|false; false; false; true|];|];;
Un couplage est codé par un vecteur de
entiers ; le couplage
est ainsi codé par :
let C0 = [|0; -1; 3; -1|];;
Une arête
est codée par un vecteur a de deux entiers, avec a . (0) dans
et a . (1) dans
.
Fin des indications pour Caml
Pascal : on utilise les définitions suivantes :
const MAX = 100;
type Matrice
of Boolean;
type Tableau = array[0 .. MAX - 1] of Integer;
type Arete = array[0 .. 1] of Integer;
type Tableau = array[0 .. MAX - 1] of Integer;
type Arete = array[0 .. 1] of Integer;
La constante MAX donne une borne supérieure du cardinal des parties
et
des graphes bipartis équilibrés considérés, c'est-à-dire de la moitié de l'ordre du graphe ; il ne sera pas utile de vérifier cette condition dans la programmation.
Le type Matrice sert à coder les graphes bipartis équilibrés. La matrice représentant le graphe est ainsi codée par G0 de type Matrice avec :
Le type Matrice sert à coder les graphes bipartis équilibrés. La matrice représentant le graphe
G0[0,0]:= true; G0[0,1]:= true; G0[0,2]:= true; G0[0,3]:= false;
G0[1,0]:= false; G0[1,1]:= false; G0[1,2]:= false; G0[1,3]:= true;
G0[2,0]:= true; G0[2,1]:= true; G0[2,2]:= true; G0[2,3]:= true;
G0[3,0]:= false; G0[3,1]:= false; G0[3,2]:= false; G0[3,3]:= true;
Le type Tableau a plusieurs usages. Il sert entre autres à coder un couplage ; le couplage
est ainsi codé par C0 de type Tableau avec :
C0[0] := 0; C0[1] := -1; C0[2] := 3; C0[3] := -1;
Une arête est codée par un tableau a de type Arete, avec
dans
et
dans
.
Fin des indications pour Pascal
C0[0] := 0; C0[1] := -1; C0[2] := 3; C0[3] := -1;
Une arête
Fin des indications pour Pascal
7 - Soit
un graphe biparti équilibré d'ordre
. On considère un tableau
d'entiers de longueur
et contenant dans ses cases indicées de 0 à
soit la valeur -1 , soit une valeur comprise entre 0 et
. Il s'agit de savoir si ce tableau
représente ou non un couplage dans
.
Caml : Écrire en Caml une fonction verifie telle que,
Caml : Écrire en Caml une fonction verifie telle que,
- si G est une matrice codant le graphe
, - si C est un vecteur codant le tableau
,
alors verifie G C renvoie true si le tableaureprésente un couplage dans et false sinon.
Indiquer la complexité de la fonction verifie.
Pascal : Écrire en Pascal une fonction verifie telle que, - si G , de type Matrice, code le graphe
, - si C, de type Tableau, code le tableau C,
- si n , de type Integer, contient la valeur de
,
alors verifie(G, C, n) renvoie true si le tableaureprésente un couplage dans et false sinon.
Indiquer la complexité de la fonction verifie.
- On considère un tableau , de longueur , codant un couplage d'un graphe . Il s'agit d'écrire une fonction qui calcule le cardinal de ce couplage.
Caml : Écrire en Caml une fonction cardinal telle que, si C est un vecteur codant un couplage, alors cardinal C renvoie le cardinal de ce couplage.
Indiquer la complexité de la fonction cardinal.
Pascal : Écrire en Pascal une fonction cardinal telle que, - si C, de type Tableau, code un couplage C,
- si n , de type Integer, contient la valeur de
, alors cardinal( ) renvoie le cardinal de . Indiquer la complexité de la fonction cardinal.
Deuxième partie : un algorithme pour déterminer un couplage maximal
On dit qu'un couplage
dans un graphe
est maximal si toute arête de
n'appartenant pas à
est incidente à au moins une arête de
. Par exemple, le couplage
de
est maximal. Un couplage maximal de
n'est pas forcément de cardinal maximum parmi les couplages de
. On cherche à concevoir un algorithme qui détermine un couplage maximal dans un graphe biparti équilibré
.
L'algorithme, nommé algo_approche, est le suivant :
- on commence avec un couplage vide
; - tant que
possède au moins une arête : - on choisit une arête
de dont la somme des degrés des extrémités soit minimum ; - on ajoute l'arête
au couplage ; - on retire de
l'arête et toutes les arêtes incidentes à .
On admettra que le résultat est, par construction, un couplage maximal.
9 - Appliquer algo_approche au graphe (voir la figure 1 page 4).
On considère par la suite le graphe biparti équilibré d’ordre 12 représenté sur la figure 5.
9 - Appliquer algo_approche au graphe
On considère par la suite le graphe biparti équilibré

Figure 5 : le graphe
10 - On applique algo_approche au graphe
. Déterminer la première arête
choisie par algo_approche; tracer le graphe obtenu après suppression de
et des arêtes incidentes à
. Montrer que le couplage obtenu par algo_approche est de cardinal au plus 5 et indiquer s'il est de cardinal maximum parmi les couplages de
.
11 - Soit un graphe biparti équilibré d'ordre
. Il s'agit d'écrire en langage de programmation une fonction arete_min qui détermine une arête de
dont la somme des degrés des extrémités soit minimum. Si le graphe possède au moins une arête, cette fonction modifie un tableau
de deux entiers reçu en paramètre pour mettre dans les deux cases de a les numéros des deux extrémités d'une arête qui atteint ce minimum ; dans ce cas, la fonction renvoie la valeur «vrai» (true) ; sinon, elle renvoie la valeur «faux» (false).
Caml : Écrire en Caml une fonction arete_min telle que :
11 - Soit
Caml : Écrire en Caml une fonction arete_min telle que :
- si G est une matrice codant le graphe
, - si a est un vecteur de deux entiers,
alors arete_min G a effectue les opérations décrites ci-dessus, en modifiant le tableau a dans le cas oùpossède au moins une arête.
Indiquer la complexité de la fonction arete_min.
Pascal : Écrire en Pascal une fonction arete_min telle que :
- si G , de type Matrice, code le graphe
, - si n , de type Integer, contient la valeur de
, - si a est de type Arete,
alors arete_min(G, n, a) effectue les opérations décrites ci-dessus en modifiant le tableau a dans le cas oùpossède au moins une arête.
Indiquer la complexité de la fonction arete_min.
12 - Il s'agit d'écrire en langage de programmation une fonction ou une procédure supprimer qui supprime d'un graphe biparti équilibré une arêtedonnée et toutes les arêtes incidentes à .
Caml : Écrire en Caml une fonction supprimer telle que : - si G est une matrice codant un graphe biparti équilibré
, - si a est un vecteur de deux entiers codant une arête
de , alors supprimer G a modifie G pour que, après modifications, G code le graphe obtenu à partir de en supprimant et toutes les arêtes incidentes à .
Indiquer la complexité de la fonction supprimer.
Pascal : Écrire en Pascal une procédure supprimer telle que : - si G , de type Matrice, code un graphe biparti équilibré
d'ordre , - si n , de type Integer, contient la valeur de
, - si a, de type Arete, code une arête
de , alors supprimer , a modifie G pour que, après l'appel à la procédure, G code le graphe obtenu à partir de en supprimant et toutes les arêtes incidentes à . Indiquer la complexité de la procédure supprimer.
13 - Il s'agit de définir en langage de programmation l'algorithme algo_approche décrit au début de la deuxième partie.
Caml : Écrire en Caml une fonction algo_approche telle que, si G est une matrice qui code un graphe biparti équilibré , algo_approche
effectue algo_approche à partir d'une copie de G et renvoie un vecteur codant le couplage obtenu.
Indication : on pourra utiliser sans la définir une fonction dupliquer_matrice telle que, si G est une matrice codant un graphe biparti équilibré , dupliquer_matrice G renvoie une matrice identique à G . Cette fonction sera utilisée pour que la fonction algo_approche ne modifie pas le contenu de la matrice reçue en paramètre.
Indiquer la complexité de la fonction algo_approche.
Pascal : Écrire en Pascal une fonction algo_approche telle que :
Caml : Écrire en Caml une fonction algo_approche telle que, si G est une matrice qui code un graphe biparti équilibré
Indication : on pourra utiliser sans la définir une fonction dupliquer_matrice telle que, si G est une matrice codant un graphe biparti équilibré
Indiquer la complexité de la fonction algo_approche.
Pascal : Écrire en Pascal une fonction algo_approche telle que :
- si G , de type Matrice, code un graphe biparti équilibré
d'ordre , - si n , de type Integer, contient la valeur de
, alors algo_approche( ) effectue algo_approche et renvoie un tableau de type Tableau codant le couplage obtenu. On fera en sorte que la fonction ne modifie pas la matrice G .
Indiquer la complexité de la fonction algo_approche.
Troisième partie : recherche exhaustive d'un couplage de cardinal maximum
Caml : Écrire en Caml une fonction une_arete telle que :
- si G est une matrice codant le graphe
, - si a est un vecteur de deux entiers destiné à coder l'arête
, alors une_arete G a effectue les opérations décrites ci-dessus, en modifiant le vecteur a dans le cas où possède au moins une arête.
Pascal : Écrire en Pascal une fonction une_arete telle que :
- si G , de type Matrice, code le graphe
, - si n , de type Integer, contient la valeur de
, - si a, de type Arete, est destiné à coder l'arête
, alors une_arete(G, n, a) effectue les opérations décrites ci-dessus en modifiant le tableau a dans le cas où possède au moins une arête.
15 - On cherche à établir un algorithme récursif, nommé meilleur_couplage, qui permette de déterminer un couplage de cardinal maximum dans un graphe biparti équilibré. Le principe est le suivant.
Si le graphe courant ne contient aucune arête, le cardinal maximum d'un couplage est 0 et aucun sommet n'est couplé.
Dans le cas contraire, l'algorithme considère une arête quelconque du graphe courant et recherche successivement :
Si le graphe courant ne contient aucune arête, le cardinal maximum d'un couplage est 0 et aucun sommet n'est couplé.
Dans le cas contraire, l'algorithme considère une arête quelconque
- un couplage de cardinal maximum parmi les couplages du graphe courant ne contenant pas a
- un couplage de cardinal maximum parmi les couplages du graphe courant contenant
.
L'algorithme déduit alors un couplage de cardinal maximum.
Caml : Écrire en Caml une fonction récursive meilleur_couplage telle que, si G est une matrice codant un graphe biparti équilibré, meilleur_couplage G renvoie un vecteur codant un couplage de cardinal maximum dans . La fonction utilisera le principe décrit plus haut.
Indication : on pourra utiliser sans la définir une fonction dupliquer_matrice telle que, si G est une matrice codant un graphe biparti équilibré, alors dupliquer_matrice G renvoie une matrice identique à G .
Pascal : Écrire en Pascal une fonction récursive meilleur_couplage telle que :
- si G , de type Matrice, code un graphe biparti équilibré
d'ordre , - si n , de type Integer, contient la valeur de
, alors meilleur_couplage( ) renvoie un tableau de type Tableau codant un couplage de cardinal maximum dans . La fonction utilisera le principe décrit plus haut.
Quatrième partie : l'algorithme hongrois
On considère un graphe biparti équilibré
et un couplage
. Une chaîne de
est une suite
de sommets distincts telle que, pour
compris entre 0 et
,
est une arête de
. Le sommet
s'appelle l'origine de la chaîne et le sommet
l'extrémité de la chaîne.
Une chaîne
de
, avec
, est dite alternée relativement à
si :
- pour tout indice
pair, est dans , - pour tout indice
impair, est dans , - le sommet
n'est pas couplé, - pour tout entier
vérifiant , l'arête n'appartient pas à , - pour tout entier
vérifiant , l'arête appartient à .
Autrement dit :
- l'origine de la chaîne est dans
et n'est pas couplée, - la première arête de la chaîne n'est pas dans
, la deuxième est dans , la troisième n'est pas dans et ainsi de suite.
Une chaîne
alternée relativement au couplage
est dite chaîne alternée augmentante relativement à
si on a
et si de plus
n'est pas couplé, ce qui entraîne que
est dans
. Par exemple, dire qu'une chaîne
constitue une chaîne alternée augmentante relativement à un couplage
signifie que :
-
et sont des sommets de et sont des sommets de ; -
sont des arêtes de ; -
'est pas couplé dans 'est pas couplé dans ; -
est couplé avec n'est pas couplé avec et est couplé avec .
- On considère le graphe et le couplage constitué des arêtes , représentées sur la figure 6 en gras. Après avoir indiqué le seul sommet de qui puisse être l'origine d'une chaîne alternée augmentante relativement à et le seul sommet de qui puisse être l'extrémité d'une chaîne alternée augmentante relativement à , déterminer une chaîne alternée augmentante

Figure 6 : le graphe
et le couplage
relativement à
.
17 - On considère un graphe biparti équilibré
et un couplage
dans
. Montrer que s'il existe une chaîne alternée augmentante relativement à
, alors il existe dans
un couplage dont le cardinal est égal au cardinal de
augmenté de 1 .
On admet le théorème suivant : un couplage C d'un graphe biparti équilibré G est de cardinal maximum si et seulement s'il n'existe pas dans
de chaîne alternée augmentante relativement à
.
Soit
un graphe biparti équilibré. L'algorithme hongrois s'appuie sur le théorème ci-dessus et détermine un couplage de cardinal maximum dans
. L'algorithme débute avec un couplage
de cardinal nul ; tant qu'il existe une chaîne augmentante relativement à
, l'algorithme modifie
pour incrémenter de 1 le cardinal du couplage en utilisant une telle chaîne augmentante.
La suite du problème a pour objectif de programmer cet algorithme. On commence par étudier la recherche d'une chaîne alternée augmentante.
La suite du problème a pour objectif de programmer cet algorithme. On commence par étudier la recherche d'une chaîne alternée augmentante.
On considère un graphe biparti équilibré
et un couplage
dans
. On va chercher s'il existe une chaîne alternée augmentante relativement à
. Pour cela, on recherche les sommets qui sont extrémités de chaînes alternées en procédant de proche en proche à partir des sommets de
non couplés.
Un sommet est dit atteint si une chaîne alternée relativement à
et d'extrémité
est mise en évidence. Au départ, tous les sommets non couplés de
(un tel sommet est extrémité d'une chaîne alternée réduite à ce sommet) sont considérés comme atteints; aucun autre sommet n'est considéré comme atteint. Un sommet
non encore atteint peut être atteint à partir d'un de ses voisins
déjà atteint si on a:
Un sommet
- soit
est dans (et donc est dans ) et l'arête n'est pas dans le couplage ; - soit
est dans (et donc est dans ) et l'arête est dans le couplage .
On utilise des marques attribuées aux sommets. Ces marques sont des entiers initialisés à -1 pour tous les sommets. Lorsqu'un sommet
est atteint à partir d'un sommet
, la marque de
devient égale au numéro de
(on rappelle que le numéro d'un sommet
ou d'un sommet
vaut
) ;
est alors l'avant-dernier sommet dans la chaîne alternée
d'extrémité
mise en évidence. La chaîne
peut être retrouvée à l'envers, de proche en proche, grâce aux marques ; dans cette chaîne, seule l'origine porte une marque de valeur -1 .
Si un sommet non couplé de
est atteint,
est une chaîne alternée augmentante relativement à
.
Dans le cas où simultanément :
Si un sommet non couplé
Dans le cas où simultanément :
- il n'y a plus de sommet non encore atteint qui puisse être atteint,
- aucun sommet non couplé de
n'est atteint, on admet qu'il n'existe pas de chaîne alternée augmentante relativement à .
Remarque: les valeurs des marques peuvent dépendre de l'ordre dans lequel on atteint les sommets, sans que cela n'ait d'importance pour la suite du problème.
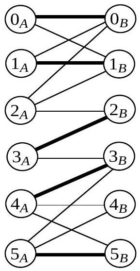
- On considère le graphe et un couplage nommé constitué des arêtes , , en gras sur la figure 7 .
Certains sommets ont été atteints ; sur la figure 7, les marques attribuées sont portées à côté des sommets, les sommets atteints sont encadrés.
Utiliser les marques pour reconstituer la chaîne alternée arrivant dans le sommetet correspondant aux marques. Indiquer s'il s'agit d'une chaîne alternée augmentante relativement à .

Figure 7 : le graphe
et le couplage
On considère quatre tableaux :
- Un tableau nommé C codant un couplage
. - Un tableau nommé R (pour réciproque) indicé par
; soit vérifiant ; si le sommet n'est pas couplé dans , la case d'indice du tableau R contient la valeur -1 ; si le sommet est couplé avec le sommet , la case d'indice du tableau comporte la valeur . - Un tableau nommé mA indicé par
servant à contenir les marques des sommets de . - Un tableau nommé mB indicé par
servant à contenir les marques des sommets de .
On suppose qu'une chaîne alternée augmentante relativement à un couplage a été déterminée et codée grâce aux marques. D’après la question , il existe un couplage de cardinal égal à celui de augmenté de 1 . La fonction ou procédure actualiser reçoit en paramètres les quatre tableaux décrits ci-dessus ainsi que le numéro de ; elle transforme alors les tableaux C et R pour qu'ils correspondent à un couplage, obtenu à partir de et de , dont le cardinal est celui du couplage augmenté de 1 .
Caml : Écrire en Caml une fonction actualiser telle que : - si
sont des vecteurs de entiers qui correspondent à la description donnée plus haut, - si numero est un entier donnant le numéro de
, alors actualiser CRmAmB numero modifie les vecteurs et pour obtenir un couplage de cardinal égal à celui de augmenté de 1 .
Pascal : Écrire en Pascal une procédure actualiser telle que :
- si les tableaux
, de type Tableau, correspondent à la description donnée plus haut, - si numero est un entier donnant le numéro de
,
alors actualiser(, numero) modifie les tableaux C et R pour obtenir un couplage de cardinal égal à celui de augmenté de 1 .
20 - On considère le graphe
ci-contre et un couplage, nommé
, constitué des arêtes
en gras sur la figure 8. Recopier la figure, encadrer tous les sommets qui peuvent être atteints et préciser à côté des sommets les marques obtenues. Indiquer s'il existe dans
une chaîne alternée augmentante relativement à
.

Figure 8 : le graphe
et le couplage
Indication : on procédera de proche en proche à partir du seul sommet non couplé de
, c'est-à-dire à partir du sommet
. L'ordre dans lequel on atteint les sommets n'a pas d'importance.
On suppose donnés un graphe biparti équilibré
et un couplage
dans
. Les chaînes alternées considérées dans la suite sont toujours des chaînes alternées relativement à
. Les questions
et
ont pour objectif de programmer un algorithme qui cherche une chaîne alternée augmentante en atteignant les sommets de proche en proche à partir des sommets non couplés de
.
- On suppose que certains sommets de
peuvent déjà avoir été atteints et les marques calculées en conséquence. On note
un sommet de
ou de
déjà atteint. On définit deux nouvelles fonctions, les fonctions chercherA et chercherB. Appliquée au sommet
, appelé sommet de départ, la fonction chercherA (si
est dans
) ou la fonction chercher
(si
est dans
) détermine des sommets non encore atteints qui peuvent être atteints, de voisin en voisin, récursivement, à partir de
, modifie les marques de ces sommets nouvellement atteints et s'arrête dans les cas suivants :
- un sommet
de non couplé a été atteint ; elle renvoie alors le numéro du sommet ; - tous les sommets qui peuvent être atteints de voisin en voisin à partir de
l'ont été et aucun sommet non couplé de n'est atteint; elle renvoie alors la valeur -1 .
Il s'agit d'écrire les deux fonctions chercherA et chercherB en utilisant une récursivité croisée, chacune des deux fonctions pouvant faire appel à l'autre.
Caml : Définir ce qu’on appelle récursivité croisée et indiquer comment elle peut être implémentée en Caml.
Écrire en Caml les deux fonctions chercherA et chercherB ; chacune de ces deux fonctions reçoit en paramètres : - une matrice G codant le graphe
; - quatre vecteurs de longueur
pour les quatre tableaux décrits plus haut : , mA et mB ; - un entier codant le numéro du sommet de départ de la recherche.
Ces deux fonctions modifient les vecteurs mA et mB conformément à la description cidessus. Elles renvoient le numéro d'un sommet atteint non couplé de
ou la valeur -1 selon le cas.
Pascal : Définir ce qu'on appelle récursivité croisée et indiquer comment elle peut être implémentée en Pascal.
Écrire en Pascal les deux fonctions chercherA et chercherB; chacune de ces deux fonctions reçoit en paramètres :
Écrire en Pascal les deux fonctions chercherA et chercherB; chacune de ces deux fonctions reçoit en paramètres :
- une matrice G , de type Matrice, codant le graphe
; - quatre tableaux de type Tableau pour les quatre tableaux décrits plus haut:
et mB ; - un entier n contenant la valeur de
donnant le cardinal commun à et ; - un entier codant le numéro du sommet de départ de la recherche.
Ces deux fonctions modifient les tableaux mA et mB conformément à la description cidessus. Elles renvoient le numéro d'un sommet atteint non couplé de
ou la valeur -1 selon le cas.
- On suppose donnés un graphe biparti équilibré
d'ordre
et un couplage
dans
. Tous les sommets de
possèdent une marque égale à -1 .
La fonction chaine_alternee cherche s'il existe une chaîne alternée augmentante en appliquant la fonction chercherA successivement à partir des sommets non couplés de .
Caml : Écrire en Caml la fonction chaine_alternee telle que :
La fonction chaine_alternee cherche s'il existe une chaîne alternée augmentante en appliquant la fonction chercherA successivement à partir des sommets non couplés de
Caml : Écrire en Caml la fonction chaine_alternee telle que :
- si G est une matrice codant le graphe
, - si
et mB correspondent à la description donnée précédemment, toutes les cases de mA et mB étant initialisées à -1 , alors chaine_alternee G C R mA mB renvoie: - -1 s'il n'existe pas de chaîne alternée augmentante,
- le numéro de l'extrémité d'une chaîne alternée augmentante dans le cas contraire.
De plus, la fonction modifie les vecteurs mA et mB pour qu'ils contiennent les marques des sommets à la fin de l'exécution de la fonction.
Pascal : Écrire en Pascal la fonction chaine_alternee telle que :
- si G , de type Matrice, code le graphe
, - si
et mB , de type Tableau, correspondent à la description donnée précédemment, les cases de mA et mB d'indices compris entre 0 et étant initialisées à -1 , - si n , de type Integer, contient la valeur de
, alors chaine_alternee( ) renvoie: - -1 s'il n'existe pas de chaîne alternée augmentante,
- le numéro de l'extrémité d'une chaîne alternée augmentante dans le cas contraire.
De plus, la fonction modifie les tableaux mA et mB pour qu'ils contiennent les marques des sommets à la fin de l'exécution de la fonction.
- Dans cette question, on programme l'algorithme hongrois.
Caml : Écrire en Caml la fonction algorithme_hongrois telle que, si G est une matrice codant un graphe biparti équilibré, alors algorithme_hongrois G renvoie un vecteur codant le couplage obtenu par l'algorithme hongrois.
Pascal : Écrire en Pascal la fonction algorithme_hongrois telle que :
- si G , de type Matrice, code un graphe biparti équilibré
d'ordre , - si n , de type Integer, contient la valeur de
, alors algorithme_hongrois(G, n) renvoie un tableau de type Tableau codant le couplage obtenu par l'algorithme hongrois.
