Version interactive avec LaTeX compilé
Mines Mathématiques 2 MP MPI 2024
Notez ce sujet en cliquant sur l'étoile
0.0(0 votes)
Probabilités finies, discrètes et dénombrementRéductionAlgèbre linéaire
ÉCOLE DES PONTS PARISTECH, ISAE-SUPAERO, ENSTA PARIS, TÉLÉCOM PARIS, MINES PARIS, MINES SAINT-ÉTIENNE, MINES NANCY, IMT ATLANTIQUE, ENSAE PARIS, CHIMIE PARISTECH - PSL.
Concours Mines-Télécom, Concours Centrale-Supélec (Cycle International).
CONCOURS 2024
DEUXIÈME ÉPREUVE DE MATHÉMATIQUES
L'usage de la calculatrice et de tout dispositif électronique est interdit.
L'énoncé de cette épreuve comporte 8 pages de texte.
Si, au cours de l'épreuve, un candidat repère ce qui lui semble être une erreur d'énoncé, il le signale sur sa copie et poursuit sa composition en expliquant les raisons des initiatives qu'il est amené à prendre.
Phénomènes de seuil dans les graphes
Dans ce problème,
désigne un entier supérieur à 1 .
On désigne par l'ensemble des entiers compris entre 1 et
.
Le groupe symétrique des permutations de est noté
.
L'ensemble des matrices carrées d'ordre à coefficients réels est noté
.
Le cardinal d'un ensemble fini sera noté
ou
.
Un graphe est un couple (
) où :
On désigne par
Le groupe symétrique des permutations de
L'ensemble des matrices carrées d'ordre
Le cardinal d'un ensemble fini
Un graphe
-
désigne un ensemble fini non vide d'éléments appelés sommets du graphe -
désigne un ensemble éventuellement vide d'éléments appelés arêtes du graphe , une arête étant un ensemble où et sont des sommets distincts de .
Un sommet n'appartenant à aucune arête est dit isolé.
Par convention, le graphe vide est le couple d'ensembles vides ().
On peut représenter un graphe non vide dans un plan à l'aide : - de disques schématisant les sommets du graphe
- de segments reliant ces disques pour les arêtes du graphe.
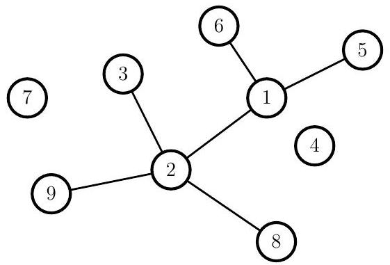
Par exemple, on a représenté sur la Figure 1, le graphe
avec :

Figure 1 - un graphe à 9 sommets et 6 arêtes
On remarquera que les arêtes sont constituées de deux sommets distincts, ce qui interdit la présence de «boucles» reliant un sommet à lui-même.
De plus, une même arête ne peut être présente plusieurs fois dans un graphe.
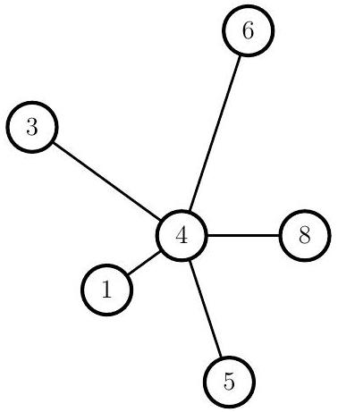
Un type de graphe utilisé dans ce problème est l'étoile.
Une étoile de centre et à
branches avec
entier naturel non nul, est un graphe (
) où
est de cardinal
, et
est du type
Une étoile de centre
On a représenté Figure 2 une étoile de centre 4 à 5 branches avec
.

Figure 2 - une étoile à 5 branches
Soient
et
deux graphes; on dit que :
-
est inclus dans si et -
est une copie de s'il existe une bijection de dans telle que :
Par exemple, le graphe de la Figure 1 contient plusieurs copies d'étoiles à une branche (correspondant aux segments), plusieurs copies d'étoiles à deux branches, mais aussi une copie d'une étoile à 3 branches (de centre 1) et une copie d'une étoile à 4 branches (de centre 2).
Dans une première partie, on étudie quelques propriétés algébriques des matrices d'adjacence.
On introduit ensuite la notion de fonction de seuil en probabilité des graphes aléatoires.
Les deux parties qui suivent la première partie sont indépendantes de celle-ci, et sont consacrées à l'étude de deux exemples.
Les deux parties qui suivent la première partie sont indépendantes de celle-ci, et sont consacrées à l'étude de deux exemples.
Partie I - Quelques propriétés algébriques des matrices d'adjacence
Soit
un graphe non vide où
. Indexer arbitrairement les sommets de 1 à
revient à choisir une bijection (appelée aussi indexation)
entre
et
. On pourra alors noter :
où
est le sommet d'index
.
Une indexation étant choisie, on définit la matrice d'adjacence
du graphe
associée à
comme étant la matrice de
dont le coefficient situé sur la
ligne et la
colonne est :
Une indexation
On remarquera d'une part que la matrice
est toujours symétrique (car pour tous
et
entiers,
et d'autre part que les termes de la diagonale sont tous nuls (pas de boucle dans un graphe).
Voici par exemple la matrice d'adjacence
du graphe
représenté sur la Figure 1 :
Soit
une permutation du groupe symétrique
et
une matrice de
.
Montrer que les matrices
et
sont semblables.
En déduire que si est un graphe non vide, et si
et
sont deux indexations de
, alors
et
sont semblables.
Justifier qu'une matrice d'adjacence d'un graphe non vide est diagonalisable.
Montrer qu'une matrice d'adjacence d'un graphe non vide n'est jamais de rang 1.
Montrer qu'une matrice d'adjacence d'un graphe dont les sommets non isolés forment un graphe de type étoile est de rang 2 et représenter un exemple de graphe dont la matrice d'adjacence est de rang 2 et qui n'est pas du type précédent.
En déduire que si
Si
est un graphe non vide et si
et
sont des indexations de
, comme les matrices
et
sont semblables, elles ont même polynôme caractéristique (ce que l'on ne demande pas de démontrer).
On notera
ce polynôme caractéristique commun et on dira que
est le polynôme caractéristique du graphe
.
Par convention, le polynôme caractéristique du graphe vide est le polynôme constant égal à 1 .
Soit
un graphe et
une copie de
. Justifier que
.
Soit
un graphe avec
. On note
.
Donner la valeur de et exprimer
à l'aide de
.
En déduire le polynôme caractéristique d'un graphe à
sommets dont les sommets non isolés forment une étoile à
branches avec
.
Donner la valeur de
Déterminer alors les valeurs et vecteurs propres d'une matrice d'adjacence de ce graphe.
Si
est un graphe non vide et si
appartient à
, on définit le graphe
comme étant le graphe dont l'ensemble des sommets est
et l'ensemble des arêtes est constitué des arêtes de
qui ne contiennent pas
. Voici par exemple Figure 3 un graphe
et le graphe
:

Figure 3 - un graphe
, et le graphe
Soient
et
deux graphes non vides tels que
et
soient disjoints, c'est-à-dire tels que
. Soit
et soit
.
On définit le graphe
avec
et
.
Montrer que :
Quel est le rang de la matrice d'adjacence de cette double étoile?
Dans toute la suite de ce problème, on suppose que
est supérieur à 2 et on notera :
l'entier
-
l'ensemble des graphes de sommets -
un réel dépendant de appartenant à l'intervalle et .
Pour tous
et
appartenant à
avec
, on note
l'application de
dans
telle que pour tout
avec
:
Ainsi,
est l'ensemble des graphes de
dont
est une arête. Réciproquement, on remarquera aussi que pour
, on peut écrire
On admet l'existence d'une probabilité
sur
telle que les applications
soient des variables aléatoires de Bernoulli de paramètre
et indépendantes. On note
l'espace probabilisé ainsi construit.
Autrement dit, pour un graphe
donné appartenant à
, la probabilité qu'une arête
soit contenue dans
est
, et les arêtes apparaissent dans
de façon indépendante.
Soit
. Déterminer la probabilité
de l'événement élémentaire
en fonction de
et
.
Retrouver alors le fait que
.
Dans la suite du problème on étudie la notion de fonction de seuil pour une propriété
vérifiée sur une partie des graphes de
.
Une fonction de seuil pour la propriété
est une suite
de réels strictement positifs tels que :
- si
alors la limite, lorsque tend vers , de la probabilité pour que la propriété soit réalisée vaut 0 - si
alors la limite, lorsque tend vers , de la probabilité pour que la propriété soit réalisée vaut 1 .
Partie II - Une première fonction de seuil
Section A - Deux inégalités
Soit
une variable aléatoire définie sur un espace probabilisé (
) à valeurs dans
et admettant une espérance
et une variance
.
Montrer que
.
Montrer que si
, alors
.
Indication : on remarquera que .
Indication : on remarquera que
Section B - Une fonction de seuil
Partie III - Fonction de seuil de la copie d'un graphe
Si
est un graphe, on note
(resp.
) le cardinal de
(resp.
).
Soit un graphe particulier fixé. Par commodité d'écriture, on note
le cardinal de
le cardinal de
et on suppose que
et que
.
Soit
On va étudier la fonction de seuil de la propriété
«contenir une copie de
.
On note la variable aléatoire réelle discrète définie sur l'espace probabilisé
telle que pour
, l'entier
est égal au nombre de copies de
contenues dans
.
On note
On introduit :
- l'ensemble
des copies de dont les sommets sont inclus dans :
- pour un graphe
avec , la variable aléatoire suivant une loi de Bernoulli définie par :
- le réel
défini par :
Exprimer le cardinal de
à l'aide de
et en utilisant un majorant simple de
, justifier que le cardinal de
est inférieur à
.
Exprimer
à l'aide de variables aléatoires du type
, et montrer que:
Indication : on pourra introduire
On suppose dorénavant que
.
Montrer que l'espérance
vérifie :
Pour
, on note :
et en déduire que pour
, on a
lorsque
tend vers
.
Montrer que
où
désigne la variance de
.
Montrer alors que la suite
est une fonction de seuil pour la propriété
.
Retrouver le résultat de la question
et déterminer une fonction de seuil pour la propriété «contenir une copie de l'étoile à
branches» avec
entier fixé supérieur à 1 .
Fin du problème
- Les sujets sont la propriété du GIP CCMP. Ils sont publiés sous les termes de la licence
Creative Commons Attribution - Pas d'Utilisation Commerciale - Pas de Modification 3.0 France.
Tout autre usage est soumis à une autorisation préalable du Concours commun Mines Ponts.
