Version interactive avec LaTeX compilé
Filière MP (groupes MPI et I)
Épreuve commune aux ENS de Paris, Lyon et Cachan
INFORMATIQUE
Durée : 4 heures
L'usage de calculatrice est interdit
Ordre topologique et circuits booléens
Le sujet aborde la question du calcul des fonctions booléennes, en utilisant le modèle des circuits booléens.
La première partie introduit une notion fondamentale (ordre topologique sur un graphe sans cycle) et demande d'écrire ou d'étudier quelques algorithmes de base relatifs aux ordres topologiques. La seconde partie introduit les fonctions et les circuits booléens et aborde plusieurs questions relatives au calcul dans ce modèle, notamment d'expressivité. La troisième partie demande d'estimer des bornes de complexité, supérieures et inférieures.
Les seconde et troisième parties peuvent largement être abordées même si la première n'a pas été complètement résolue.
Définitions et conventions
Graphes. Un graphe (orienté) est un couple
où
est un ensemble fini (les sommets de
) et
un sous-ensemble de
(les arêtes de
). Si
est un graphe à
sommets, on identifiera
à
. Si
est un ensemble,
désignera son cardinal.
Si
est une arête, on appelle
son origine et on la note or
; on appelle
l'extrémité de
et on la note ex(a). Le sommet
est dit fils de
.
Un chemin de longueur
est une suite d'arêtes
telle que ex
pour
. On note
l'ensemble de sommets
. Ce chemin est un cycle si ex
or
.
Si
est un sommet de
, on appelle degré entrant de
et on note in
le nombre d'arêtes d'extrémité
; on appelle degré sortant de
le nombre d'arêtes d'origine
. Un sommet de degré entrant nul est appelé une entrée; un sommet de degré sortant nul est appelé une sortie; un sommet qui n'est pas une entrée est dit interne.
Structures de données et algorithmes. Dans la suite on manipulera des listes d'entiers, des tableaux d'entiers, de listes d'entiers, de booléens, ... Les indices d'un tableau de taille
vont de 1 à
; la taille d'un tableau
sera notée taille
.
La liste vide est notée nil. Une liste
non vide est formée d'un premier élément, noté tête
, et de la liste formée par les autres éléments, notée queue
. La primitive concat
renvoie la liste formée en ajoutant
en tête de
. On note
pour indiquer que l'élément
appartient à la liste
.
Vous pouvez utiliser le langage ou pseudo-langage de votre choix pour l'écriture de fonctions, en utilisant les structures de contrôle usuelles (Pour, Si, Tant que, . . .). La question 1.4. de la première partie illustre un choix possible. Certaines questions demandent de donner les principes d'un algorithme; pour ces questions, on ne demande pas d'écrire du pseudo-code, mais de décrire l'algorithme en français.
La complexité d'un algorithme désigne le nombre d'opérations élémentaires qu'il effectue : lecture ou écriture dans un tableau, tests, accès à la tête ou à la queue d'une liste, ... La création d'un tableau de taille
a un coût
. Si
est une liste, le coût de l'affection
est 1 . On ne cherchera pas à estimer les complexités exactement; on se contentera de donner un ordre de grandeur, en utilisant la notation asymptotique
.
1 Ordre topologique et applications
Soit
un graphe à
sommets. Un ordre topologique sur
est une bijection
:
telle que pour toute arête (
) de
; l'ordre
est représenté par le tableau
. L'objectif de cette partie est de donner un algorithme pour déterminer un ordre topologique et quelques-unes de ses applications.
Question 1.1.
- Donner un ordre topologique pour chacun des graphes suivants, quand c'est possible.

- Montrer que
admet un ordre topologique si et seulement s'il est sans cycle. - Écrire une fonction Inverse(o) qui calcule le tableau
. Quelle est sa complexité?
Le graphe
est donné par listes d'adjacence, c'est-à-dire par un tableau
, de taille
, de listes d'entiers, tel que
si et seulement si
est une arête de
. De plus, chaque liste est sans répétition.
Question 1.2.
- Écrire une fonction Parents
qui renvoie un tableau , de taille , contenant des listes d'entiers, tel que si et seulement si est une arête de (chaque liste sera sans répétition). Quelle est sa complexité? - Donner les principes d'un algorithme qui renvoie le tableau de taille
donnant le degré entrant de chaque sommet et d'un algorithme qui renvoie la liste des entrées de . Quelle est la complexité de ces algorithmes? - En utilisant les algorithmes précédents, donner les principes d'un algorithme qui calcule un ordre topologique sur
(s'il existe), en complexité .
Dans toute la fin de cette partie, on suppose
sans cycle. Si
est un ordre topologique sur
, on dit qu'une liste
d'éléments distincts de
est triée selon l'ordre o si, soit
est vide, soit
est réduite à un élément, soit
tête
tête(queue
et queue
est triée selon l'ordre
.
Question 1.3. Soit
un ordre topologique sur
. Écrire une fonction TriSuccesseurs
, de complexité
, qui trie les listes d'adjacence contenues dans le tableau
selon l'ordre
.
La fermeture réflexive transitive de
est le graphe
tel que (
) appartient à
si et seulement s'il existe un chemin
dans
tel que
et
, ou bien si
. L'objectif de la fin de cette partie est de calculer cette fermeture. Au vu des questions précédentes, quitte à renuméroter les sommets, on suppose désormais que l'application
forme un ordre topologique sur
et que les listes d'adjacence du tableau
sont données triées selon cet ordre.
Question 1.4. On étudie dans cette question l'algorithme de la figure 1, page 4. Il prend en entrée le tableau
des listes d'adjacence triées.
- Pour le graphe suivant, donner les valeurs de
et à chaque entrée dans la boucle des lignes 2-27, ainsi qu'à la fin de l'algorithme.

- Montrer qu'à l'issue de cet algorithme, le tableau
fournit une description de par listes d'adjacence. -
CréerTableau faux, CréerTableau nil,
(et sont des tableaux, respectivement de booléens et de listes d'entiers, respectivement initialisés à faux et nil, et de taille ) - Pour
allant de à 1 Faire -
, nil -
vrai -
- Tant que
nil Faire -
tête -
queue -
Si faux Faire -
- Tant que
nil Faire -
tête -
queue -
Si faux Faire -
vrai -
- Fin Si
- Fin Tant que
- Fin Si
- Fin Tant que
-
- Tant que
nil Faire -
tête -
queue -
faux - Fin Tant que
- Fin Pour
- Renvoyer
Fig. 1 - Algorithme de la question 1.4.
3. Soit le sous-ensemble des arêtes de
tel que
si et seulement si
et s'il n'existe pas de chemin de longueur supérieure ou égale à 2 entre
et
dans
. Montrer que le nombre de sommets internes de
est borné par
, que
est borné par
et estimer la complexité de l'algorithme étudié en fonction de
et
.
Indication : on pourra montrer que les lignes 10 à 18 sont exécutées si et seulement si ( ) est dans
.
4. La grandeur est toujours inférieure à
. Est-il possible de la majorer par une fonction de type
, pour un
?
3. Soit
Indication : on pourra montrer que les lignes 10 à 18 sont exécutées si et seulement si (
4. La grandeur
Une chaîne est un ensemble de sommets de
soit réduit à un élément, soit de la forme
, pour un chemin
.
Question 1.5. On étudie pour conclure cette partie un second algorithme de fermeture réflexive transitive.
- Écrire une fonction Chaines qui calcule une partition de
en chaînes, avec la propriété (de minimalité) suivante : pour toutes chaînes et calculées par cette fonction, n'est pas une chaîne.
Cette fonction renverra un tableau de listes d'entiers triées en ordre croissant (c'est-àdire selon l'ordre topologiqueet sans répétition. Estimer sa complexité. - Soit
une partition de en chaînes, donnée par un tableau de listes d'entiers sans répétition, triées en ordre croissant. Pour et , on définit si cet ensemble n'est pas vide, et sinon. Enfin, on note le tableau de taille tel que est l'unique indice pour lequel .
(a) Montrer quesi et que, sinon, si cet ensemble n'est pas vide.
(b) Soitet soit et . Si est vide, on pose ; sinon, on pose . Montrer que si et seulement si .
(c) Écrire une fonction calculant les valeursen complexité . - Donner les principes d'un second algorithme qui calcule la fermeture réflexive transitive de
et estimer sa complexité. La sortie sera présentée sous la forme d'un tableau de listes d'adjacence. On ne demande pas que ces listes soient triées.
Remarque : si le grapheest aléatoire, au sens où chaque arête ( ) est présente avec une probabilité fixée, ces idées mènent à un algorithme de complexité moyenne , contre pour celui de la question 1.4.
2 Fonctions booléennes et circuits booléens
Définitions. Pour
, on note
l'ensemble des fonctions
et on pose
est l'ensemble des fonctions booléennes. On note
la fonction ou,
la fonction et,
la fonction ou exclusif et
la fonction non, définies ci-dessous :
|
|
|
|
| 0 | 0 | 0 |
| 0 | 1 | 1 |
| 1 | 0 | 1 |
| 1 | 1 | 1 |
|
|
|
|
| 0 | 0 | 0 |
| 0 | 1 | 0 |
| 1 | 0 | 0 |
| 1 | 1 | 1 |
|
|
|
|
| 0 | 0 | 0 |
| 0 | 1 | 1 |
| 1 | 0 | 1 |
| 1 | 1 | 0 |
|
|
|
| 0 | 1 |
| 1 | 0 |
On définit également les fonctions constantes
et
qui valent respectivement 0 et 1 .
Pour et
dans
, on note
si
pour tout
. Pour un sous-ensemble non vide
de
, on note
la valeur
(cette valeur est bien définie, en vertu de l'associativité et de la commutativité de
) ; si
est vide,
vaut 0 . Finalement, une fonction
est dite :
Pour
- monotone si
implique pour tous dans ; - auto-adjointe si
pour tout ( ) dans ; - affine s'il existe
et tels que pour tout dans .
Pour, on note si et sinon. Pour , on dira alors que est de type - ET s'il existe
tels que pour tous dans ; - XOR s'il existe
tel que pour tous dans .
Question 2.1.
- Parmi toutes les fonctions de
, quelles sont celles qui sont de type ET? De type XOR? Des deux types simultanément? - Montrer qu'une fonction de type XOR est affine. Y a-t-il d'autres fonctions affines dans
? - Que vaut
pour ? Que vaut pour ?
Soient
et
dans
. On dit que
est une spécialisation de
s'il existe un sous-ensemble
et des constantes
satisfaisant les conditions suivantes : pour tout
, avec
si
et
sinon. On dit que
fixe les variables
, pour
.
Question 2.2.
- Montrer par récurrence sur
que si n'est pas affine, il existe une spécialisation de qui fixe toutes les variables sauf deux d'entre elles, et , et telle que , pour des constantes dans . - Pour
, montrer que si n'est pas monotone, il existe une spécialisation de qui fixe toutes les variables sauf une d'entre elles, , et telle que .
Soit
un ensemble fini de fonctions booléennes. Un circuit
sur
est la donnée
- d'un graphe sans cycle
. On suppose que forme un ordre topologique sur et que les entrées sont numérotées de 1 à . - d'une fonction
telle que si in et, si est une entrée, pour .
On associe à un circuità entrées une application définie ainsi : - pour toute entrée
de ; - si
est un sommet interne, et si sont les arêtes d'extrémité , avec , on définit par pour tout .
Intuitivement, au sommet, on applique la fonction aux valeurs calculées dans les sommets précédents. On dit que le sommet calcule la fonction . Une fonction est calculée par un circuit sur s'il existe un sommet du graphe associé tel que .
La taille d'un circuit est le nombre de sommets internes de(c'est-à-dire de sommets qui ne sont pas des entrées). La profondeur d'un circuit est la longueur du plus long chemin dans .
Question 2.3.
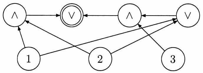
- Dans l'exemple suivant, indiquer quelle fonction est calculée par le sommet entouré deux fois (on ne donne que la numérotation des noeuds d'entrée, aucune ambiguïté n'étant possible).

- Pour
dans , on définit par si et seulement si . Montrer que peut être calculée par un circuit sur de taille et de profondeur , en utilisant une approche de type "diviser pour régner". - En déduire que pour tout
, toute fonction dans peut être calculée par un circuit sur . Quelle est la taille de ce circuit? Sa profondeur?
Question 2.4. Un ensemble
est complet si toute fonction de
peut être calculée par un circuit sur
.
- Réinterpréter le résultat de la question 2.3.3 en termes d'ensemble complet. Donner un ensemble complet, minimal au sens de l'inclusion.
- On va caractériser les ensembles
complets. Considérons les conditions suivantes:
(i) il existetelle que (ici, signifie que tous les arguments de sont mis à 0 );
(ii) il existetelle que (même remarque que ci-dessus);
(iii) il existenon monotone;
(iv) il existenon auto-adjointe;
(v) il existenon affine;
(vi) il existe un circuitsur à une entrée et un sommet interne du graphe associé tels que calcule la fonction identité .
(a) Montrer que ces conditions sont nécessaires.
(b) Réciproquement, on suppose ces conditions satisfaites.
- Montrer en utilisant (i)-(iii) et (vi) qu'on peut calculer la fonction
par un circuit sur . - Montrer en utilisant (iv) et (vi) qu'on peut calculer les fonctions
et par des circuits sur . - Montrer en utilisant (v) qu'on peut calculer par un circuit sur
une fonction de type ET. Conclure.
3 Bornes supérieures et bornes inférieures
Dans toute cette partie, on pose
: tous les sommets des graphes considérés sont donc de degré entrant 0,1 ou 2 . La première question traite un exemple de borne supérieure sur le coût du calcul de certaines fonctions; la fin du problème aborde des questions de bornes inférieures.
Une matrice booléenne
de taille
est la donnée de
valeurs
dans
. Si
et
sont deux telles matrices, on note
la matrice booléenne de taille
définie par
avec
On note par ailleurs
la matrice booléenne de taille
définie par
avec
. Pour
, on définit les puissances
par récurrence :
est la matrice
, qui a toute ses entrées nulles, à l'exception de la diagonale
, remplie par des 1 ; pour
, on pose
.
Question 3.1.
- Soit
un graphe à sommets. Sa matrice d'adjacence est la matrice booléenne de taille telle que si et seulement si . Caractériser les éléments de en fonction des chemins dans . - Pour
, soit la fonction qui à la matrice d'adjacence d'un graphe , de taille , associe 1 si et seulement si ou s'il existe un chemin de à dans . Montrer que pour tous peut se calculer par un circuit sur de taille et de profondeur .
Pour une fonction booléenne
, on note
la taille minimale d'un circuit qui calcule
sur
, si un tel circuit existe (sinon, on pose
). Un circuit qui calcule
sur
est optimal pour
si sa taille vaut
.
Question 3.2.
- Soit
un graphe sans cycle, ayant entrées, sorties (toutes distinctes des entrées) et sommets (internes ou non) de degré sortant supérieur ou égal à 2 . Montrer que si tout sommet interne de a un degré entrant inférieur ou égal à 2 , alors contient au moins sommets internes.
Indication : on pourra compter le nombre d'arêtes de deux façons différentes. - Soit
dans et soit un circuit sur qui calcule . Montrer les assertions suivantes :
(a) Siest optimal pour , alors :
- si
et sont deux sommets distincts de ; - il existe un unique sommet
de tel que et c'est une sortie de ; - il existe au plus un sommet interne de
qui soit une sortie.
(b) On suppose quen'est ni constante, ni de la forme . On suppose également que a sommets internes pour lesquels est dans ou n'est ni de type ET ni de type XOR. Montrer qu'alors est plus petit que la taille de .
Question 3.3. Soit
. Pour
dans
, on note
l'entier
. Posant
, on définit la fonction
par
Le but de cette question est de donner une borne inférieure sur
. Pour cela, pour
, on définit
par
de cardinal
tel que
.
Soit
dans
, avec
dans
, soit
un circuit sur
qui calcule optimalement
et soit
tel que
est dans un ensemble
associé à
selon la définition ci-avant. En fixant
, construire une fonction
dans
telle que
. En déduire que
.
Indication : on pourra distinguer selon le degré sortant de l'entrée correspondant à . Si ce degré est 1, on discutera selon la nature du fils et on utilisera la question 2.1.3.
Indication : on pourra distinguer selon le degré sortant de l'entrée correspondant à
Question 3.4. Soit
dans
, pour
. On suppose qu'il existe
de cardinal au moins 2, satisfaisant la propriété suivante : pour tous
, avec
, il existe des spécialisations
et
de
qui fixent toutes les variables sauf
et
, et des constantes
telles que
- Soit
un circuit optimal qui calcule sur . Soient et dans , avec , et des chemins de l'entrée (respectivement l'entrée ) à , l'unique sommet de qui calcule . On note le sommet de plus petit indice commun aux deux ensembles et . Montrer qu'il existe, dans ou dans , un sommet d'indice strictement plus petit que celui de et de degré sortant supérieur ou égal à 2 . - Montrer qu'il existe
éléments tels que, pour tout , tout chemin de à contient un sommet de degré sortant au moins 2 . Montrer de plus qu'on peut choisir ces sommets de sorte qu'ils soient tous distincts. En déduire l'inégalité . - Pour
, que dire de la fonction définie par si et seulement si ?
Question 3.5. Montrer que pour
assez grand, il existe
telle que
. Indication : on pourra compter le nombre d'éléments dans
et utiliser une majoration sur le nombre de circuits de taille
à
entrées qu'on peut construire sur
.
