Version interactive avec LaTeX compilé
Filière MP (groupes MPI/MI)
Épreuve commune aux ENS de Paris et Cachan
INFORMATIQUE
Durée : 4 heures
L'usage de calculatrices électroniques de poche à alimentation autonome, non imprimantes et sans document d'accompagnement, est autorisé. Cependant, une seule calculatrice à la fois est admise sur la table ou le poste de travail, et aucun échange n'est autorisé entre les candidats.
Le problème comporte 13 questions. Il est conseillé de traîter les questions dans l'ordre de l'énoncé, cependant on pourra aborder une question en admettant les résultats des précédentes. Les algorithmes demandés pourront être écrits dans un langage aux choix du candidat, en utilisant les structures de contrôle usuelles. On pourra par exemple utiliser un langage semblable à celui qui est décrit dans l'annexe A.
Un graphe
est un triplet (
) où
est un ensemble fini (les sommets),
est un sous-ensemble de
(les arêtes) et
est une application de
dans
. La taille
d'un graphe
est la somme du nombre de sommets
et du nombre d'arêtes
. La taille d'une liste est sa longueur. On pourra supposer que les sommets sont numérotés et donc que
. Les éléments de
sont de taille 1 .
Si
est un ensemble, on note
l'ensemble des sous-ensembles de
. On pourra choisir de représenter un ensemble
d'éléments de
par une liste de taille
ou par un tableau de booléens de taille
.
On utilisera la structure de donnée des tableaux indicés par
à valeurs dans un type de donnée
(tableaux de
en abrégé) qui représentent les applications de
dans
. On dispose pour de telles données
- d'une fonction d'accès :
est la valeur de en si est un tableau de et . Un tel accès s'effectue en temps unitaire - d'une fonction d'initialisation init qui, étant donné
, renvoie un tableau représentant la fonction constante égale à . Le coût de cette fonction est . - de primitives de modification :
modifie le tableau en remplaçant sa valeur en par . Cette opération a un coût unitaire. (Dans un langage fonctionnel, on pourra supposer l'existence d'une fonction de coût unitaire qui renvoie le tableau modifié).
Le temps nécessaire à l'exécution d'un algorithme sur la donnéesera supposé être le nombre d'opérations élémentaires effectuées : accès à un tableau, test d'égalité sur les données atomiques (éléments de ), test de vide d'une liste, accès au premier élément d'une liste (car), accès au reste d'une liste (cdr), ajout d'un élément à une liste (cons, : :), ajouter ou retrancher 1 à un entier, test à 0 d'un entier, or, and sur des données Booléennes. On utilisera la notation : par exemple, la complexité d'un algorithme est si son temps d'exécution ne dépend pas de la donnée; il est si son temps d'exécution est, dans le cas le pire, linéaire dans la taille de la donnée .
1 Accessibilité dans les graphes ET/OU
Dans cette partie,
désignera un graphe
. Si
est une application de
dans
, on dira que
est compatible avec
si, pour tout
- ou bien
et
- ou bien
et
Question 1
Montrer que l'application qui à tout sommet de
associe
est compatible avec
.
Question 2
Montrer que, si
et
sont deux applications compatibles avec
, l'application
définie par :
est compatible avec
Question 3
Montrer qu'il existe une unique application
compatible avec
telle que pour toute application
compatible avec
et pour tout sommet
de
L'application
est appelée relation d'accessibilité de
. L'objet de cette partie est de construire des algorithmes qui permettent de calculer
On représente les graphes ET/OU à l'aide de deux tableaux G et f indicés par les sommets du graphe :
est l'ensemble des sommets
de
tels que
et
est égal à
.
Les ensembles de sommets seront représentés par des listes sans répétition ou des tableaux de Booléens, au choix du candidat.
Question 4
Donner des algorithmes (ou programmes) qui réalisent les fonctions suivantes :
- le test d'appartenance à un ensemble de sommets
- le test d'égalité de deux ensembles de sommets
- l'union de deux ensembles de sommets
- étant donné un ensemble de sommets
et un tableau indicé par à valeurs dans les ensembles de sommets, calcule l'union des pour . - étant donné un tableau
indicé par , à valeurs dans les ensembles de sommets, et un graphe (donné par G et f ), le test de compatibilité de avec .
Dans chaque cas, justifier brièvement la correction de l'algorithme et donner sa complexité.
Question 5
On définit la suite d'applications
qui associent à chaque sommet un ensemble de sommets :
-
pour tout - Si
- Si
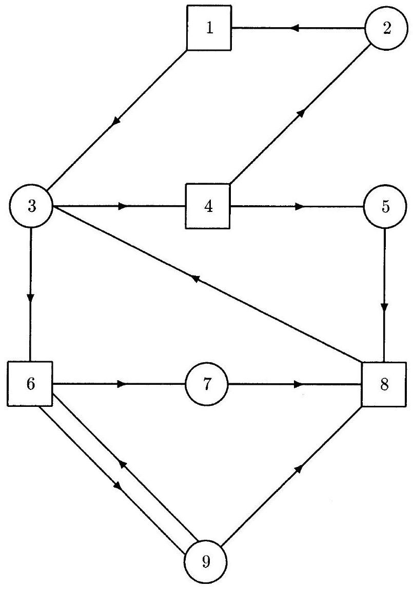
- Calculer la suite
pour chacun des 9 sommets du graphe donné dans la figure 1 , dans lequel pour les sommets représentés par des cercles et pour les sommets représentés par des carrés. - Montrer que, pour tout graphe
, il existe un entier que l'on précisera tel que, pour tout , pour tout . On notera alors la limite ainsi obtenue. - Montrer que
- En déduire un algorithme de calcul de
dont on précisera la complexité.
Question 6
Si
est un ensemble de sommets de
, on note
(ensemble des sommets desquels on peut accéder à un sommet de
). Donner un algorithme qui, étant donnés
et
, calcule
et préciser sa complexité.
Question 7
On associe à chaque sommet
la liste de ses prédecesseurs prec(
) et le nombre
qui est égal au nombre de successeurs de
si
et égal à 1 sinon.
Soient
des listes de sommets. Initialement
est vide et
. On considère l'algorithme donné dans la figure 2.
- Montrer que la complexité de cet algorithme est
- Montrer que, après éxecution,
. (Ind : on pourra montrer que, si , à chaque entrée dans la boucle externe). - Donner un algorithme qui calcule toutes les listes sans répétitions prec
et tous les entiers , pour , en temps (total) . - En déduire qu'il existe un algorithme linéaire qui résoud le problème d'accessibilité : étant donnés
et , l'algorithme répond true si et false sinon.

Fig. 1 - Un graphe ET/OU
Pour
faire
Tant que non vide faire
Tant que non vide
Tant que non vide
faire
Fin Tq
Fin Tq
Fin Tq
Fig. 2 - Un algorithme sur les graphes ET/OU
2 Automates alternants
Un automate alternant est donné par un ensemble fini d'états
, un état initial
, un ensemble d'états finaux
, un alphabet d'entrée
, une fonction de transition
et une fonction de type
. On écrira en abrégé
(resp.
) si
resp.
. On écrira de plus
false (resp.
true ) lorsque
et
(resp.
). Dans toute la suite, on supposera que
.
désignera le mot vide,
la concaténation des mots
et
la ième lettre du mot
(si elle est définie) et
la longueur de
.
Un calcul de l'automate
sur le mot
est un arbre étiqueté par
et tel que:
- La racine de l'arbre est étiquetée par
. (C'est le noeud de l'arbre de profondeur 0 ). - Si un noeud
de l'arbre, de profondeur , est étiqueté par et si , et , alors a exactement un fils (de profondeur ) étiqueté par l'un des états . Noter que l'on doit avoir et donc qu'un calcul ne peut pas utiliser de transition false . - Si un noeud
de l'arbre, de profondeur , est étiqueté par et si , et , alors a exactement fils (de profondeur ), étiquetés respectivement par . Noter que, si (c'est à dire true ), est une feuille. - Tous les noeuds de
sont de profondeur inférieure ou égale à .
Un calcul de
sur
est réussi si, toute feuille
de
de profondeur
est étiquetée par un état final. (Noter que, si le calcul ne comprend aucune feuille de profondeur
, il est toujours réussi). Le langage accepté par
est l'ensemble des mots
de
tels qu'il existe un calcul réussi de
sur
.
Question 8
On considère l'automate alternant dont la fonction de transition est donnée par :
|
|
0 | 1 |
|
|
|
|
|
|
true |
|
|
|
false | true |
|
|
|
false |
|
|
0 | 1 |
|
|
|
|
|
|
|
|
|
|
|
|
|
|
|
|
L'état initial est
. Il n'y a pas d'état final.
Donner des calculs réussis de l'automate sur les mots 0101, 0110, 0111.
La taille d'un automate non-déterministe est égale à la somme de son nombre d'états et de son nombre de transitions. La taille d'un automate alternant est la somme, pour tous les états et pour toutes les lettres de l'alphabet
, du cardinal de
et du nombre d'états :
Donner des calculs réussis de l'automate sur les mots 0101, 0110, 0111.
La taille d'un automate non-déterministe est égale à la somme de son nombre d'états et de son nombre de transitions. La taille d'un automate alternant est la somme, pour tous les états
Question 9
Montrer que tout langage reconnu par un automate fini non-déterministe
est aussi reconnu par un automate alternant
de taille
Question 10
Démontrer que, étant donné un automate alternant
, on peut calculer en temps
un automate alternant
qui accepte le complémentaire du langage accepté par
. (Ind : on pourra considérer l'automate dual obtenu en échangeant
et
d'une part et les états finaux et non finaux d'autre part)
Question 11
Donner un algorithme de complexité
qui, étant donnés un mot
et un automate alternant
détermine si
est accepté par
.
Question 12
Montrer que tout langage reconnu par un automate alternant
est aussi reconnu par un automate non-déterministe
.
Quelle est la complexité d'un algorithme calculant
à partir de
?
Question 13
- On considère le langage
qui contient le mot unique . Montrer que tout automate non-déterministe acceptant comporte au moins états. - Donner un automate alternant qui accepte
, et de taille . (Ind : on pourra considérer les états à partir desquels sont acceptés les mots de la forme où le ième bit dans l'écriture en base 2 de est 0 .).
A Exemple d'un petit langage algorithmique
instructions élémentaires : l'affectation
, l'affichage print
, les appels de procédures
, l'identité skip .
structures de contrôle :
: composition séquentielle des instructions
begin end : parenthèsage (on peut aussi utiliser une indentation)
if then
else
: conditionnelle
if then
: abréviation de if
then
else skip.
for to
do
: itération (dont les bornes sont calculées avant entrée dans la boucle;
sont de type entier)
Tant que faire
Fin Tq : boucle, le test d'arrêt
étant évalué à chaque itération.
structures de contrôle :
begin
if
if
for
Tant que
