J-0
00m
00j
00h
00min
00s

Version interactive avec LaTeX compilé

E3A Physique Chimie MP 2013

Notez ce sujet en cliquant sur l'étoile
0.0(0 votes)
Logo e3a
2025_09_04_b53fec6d3ad3f715188cg

Épreuve de Physique - Chimie MP

Durée 4 h

Si, au cours de l'épreuve, un candidat repère ce qui lui semble être une erreur d'énoncé, d'une part il le signale au chef de salle, d'autre part il le signale sur sa copie et poursuit sa composition en indiquant les raisons des initiatives qu'il est amené à prendre.

L'usage de calculatrices est autorisé.

AVERTISSEMENT

Remarques préliminaires importantes : il est rappelé aux candidat(e)s que
  • les explications des phénomènes étudiés interviennent dans la notation au même titre que les développements analytiques et les applications numériques ;
  • tout au long de l'énoncé, les paragraphes en italique ont pour objet d'aider à la compréhension du problème ;
  • tout résultat fourni dans l'énoncé peut être admis et utilisé par la suite, même s'il n'a pas été démontré par les candidat(e)s ;
  • les questions comportant le mot «calculer» demandent une explication numérique ;
  • le document-réponse (Annexe recto-verso) devra être complété puis remis avec la copie.
Ce problème aborde quelques aspects de la téléphonie mobile et du fonctionnement des téléphones portables. La première partie se décompose en quatre sections indépendantes consacrées respectivement : à la directivité d'une antenne relais (section ), au contrôle de sa direction d'émission (section B), à la démodulation du signal reçu par un téléphone portable (section C ), et enfin à quelques aspects liés à la puissance des antennes (section D). Deux capteurs capacitifs sont ensuite étudiés dans la deuxième partie, l'un sert à mesurer des champs électriques (section E) et l'autre est à la base de nombreux écrans tactiles de téléphone (section F ). La troisième partie traite de la chimie du lithium, composant essentiel des batteries des téléphones portables.

PREMIERE PARTIE

COMMUNICATION AVEC UN TELEPHONE PORTABLE

A / Directivité de l'antenne relais

L'objectif est de déterminer la puissance rayonnée par une antenne relais de téléphone portable en fonction de la direction de son émission. Aucune connaissance spécifique sur les antennes n'est nécessaire.
L'antenne émet un rayonnement monochromatique de pulsation et de longueur d'onde . La nature vectorielle du champ électrique est ignorée. Celui-ci est décrit, selon un modèle scalaire, par un signal ou en notation complexe.

L'ouverture de l'antenne est rectangulaire, de
côtés dans la direction horizontale et dans la direction verticale Oz. H est largement plus grand que et . L'antenne est modélisée, dans un premier temps, par une répartition unidimensionnelle de sources, réparties continûment sur le segment (Figure 2) et vibrant en phase.
La source quasi ponctuelle de longueur dz située autour du point produit, loin de l'antenne, un champ électrique caractérisé par l'amplitude complexe: avec et une constante.
L'indice de réfraction de l'air vaut .
Le déphasage (appelé phase à l'origine) dépend de la direction d'émission et de la position z du point source ; il est repéré par rapport à la phase des ondes émises depuis le point (si bien que pour ces ondes).
A1. Déterminer l'expression de la différence de marche entre le trajet PM et le trajet étant le point de réception situé très loin dans la direction . En déduire l'expression de en fonction de et .
A2. Montrer que l'amplitude du champ électrique total émis dans la direction s'écrit: . Exprimer en fonction de et .
La puissance émise par unité de surface dans la direction a peut s'exprimer sous la forme: , où est une constante.
A3. Tracer l'allure de la puissance surfacique en fonction de , en faisant apparaître les points caractéristiques. Déterminer les deux angles les plus proches de 0 , notés et , pour lesquels . Exprimer la largeur du lobe principal d'émission de l'antenne, puis calculer sa valeur numérique pour et . Cette largeur caractérise la directivité de l'antenne dans le plan vertical (Oy, Oz).
Prenons maintenant en compte la géométrie bidimensionnelle de l'antenne (Figure 1).
A4. Par analogie, et sans justification, donner l'expression de la largeur angulaire du lobe principal d'émission dans le plan horizontal ( ), en fonction de et de . Calculer numériquement pour .
A5. Justifier en quelques mots la valeur choisie en pratique pour H , puis celle choisie pour L , étant donnée la fonction de cette antenne.
Pour simplifier, supposons que la puissance émise par unité de surface est constante pour et , et nulle sinon. La puissance totale émise par l'antenne est notée .
A6. Exprimer, pour un point situé à la distance de l'antenne, la puissance surfacique émise en fonction de et .
L'efficacité de réception du téléphone portable correspond à une surface effective de réception, d'aire .
A7. Déterminer l'expression de la puissance reçue par le téléphone portable, en fonction de , puis de (et éventuellement ). Calculer la puissance totale émise permettant d'obtenir à une distance de l'antenne.
Norme et sécurité : La puissance moyenne transportée par l'onde, par unité de surface, vaut , où est l'amplitude du champ électrique rayonné, c la vitesse de la lumière dans le vide et . Les normes de sécurité (principalement de santé) imposent une valeur de inférieure à .
A8. Calculer numériquement la puissance maximale émise , telle que le champ électrique à une distance de 10 m de l'antenne soit égal à . La valeur de trouvée à la question peut-elle être employée en pratique, à condition que personne n'approche de l'antenne à moins de 10 m ?

B / Contrôle électronique de la direction d'émission

L'antenne est en réalité constituée de émetteurs identiques assimilés à des sources ponctuelles régulièrement espacées le long de l'axe Oz. La distance séparant deux émetteurs successifs est notée (figure 3). Cette antenne est telle que .
B1. De quel dispositif optique cet ensemble d'émetteurs est-il l'analogue?
Lorsqu'elle parvient au point de réception , l'onde produite par l'émetteur est déphasée d'une quantité par rapport à l'onde produite par l'émetteur n. Par convention, si l'onde est en avance par rapport à et si elle est en retard, si bien que . Considérons tout d'abord que les émetteurs sont tous alimentés en phase, par le même générateur.
B2. Exprimer le déphasage en fonction de et . En déduire, en justifiant votre réponse, les directions d'émission pour lesquelles la puissance émise est maximale. Vérifier qu'il n'y a, dans l'intervalle , qu'une seule direction pour laquelle l'émission est maximale. Préciser cette direction.
Les émetteurs sont maintenant alimentés par le système de déphaseurs représentés sur la figure 4. Chaque déphaseur retarde le signal d'alimentation en lui ajoutant une phase à l'origine algébrique . Comme précédemment, la relation reste vérifiée. Ce dispositif permet de contrôler aisément la direction d'émission dans le plan (Oy,Oz), ce qui est utile notamment lorsque l'antenne est placée en hauteur, sur un toit d'immeuble.
Figure 4
B3. Exprimer en fonction de et . Déterminer la direction d'émission maximale en fonction de . Calculer numériquement (en radians) la plage sur laquelle doit être réglable pour pouvoir ajuster entre et .

C / Démodulation du signal reçu

Le téléphone portable reçoit un signal modulé en fréquence, de la forme ; sa pulsation s'écrit donc: . L'objectif est d'extraire de ce signal la quantité , qui constitue l'information échangée entre l'antenne et le téléphone. Pour cela, le circuit représenté sur la figure 5 est utilisé.
Le circuit déphaseur est schématisé sur la figure 6. L'amplificateur opérationnel est idéal et fonctionne en régime linéaire.
C1. Déterminer l'expression de la fonction de transfert du déphaseur, en régime sinusoïdal forcé à la pulsation .
C2. Justifier que peut s'écrire . Exprimer en fonction de et .
Considérons pour commencer que est une constante : cste . Le multiplieur délivre une tension : étant une constante.
C3. Exprimer . Vérifier que est la somme

d'une tension continue et d'une tension de pulsation . Exprimer en fonction de et . Ecrire le développement limité de jusqu'à l'ordre 1 en inclus, sachant que est petit devant 1 .
II est admis que les résultats précédents restent valables tant que la quantité varie très lentement par rapport à , tout en restant très inférieure à 1 .
C4. Comment faut-il choisir la pulsation de coupure du filtre passe-bas pour que la sortie soit proportionnelle à ?
C5. Proposer un montage électronique simple (avec A.O.), permettant de réaliser ce filtrage.

D / Puissance et cellules

1 / Positionnement par comparaison de puissances

Un téléphone portable capte les signaux émis par les quatre antennes relais et réparties aux sommets d'un carré de demi-diagonale , comme représenté sur la figure 7. Il s'agit d'une vue de dessus, et le plan (OX,OY) correspond au plan horizontal.
Au point , la puissance du signal provenant de l'antenne A s'écrit : ; de même: , CM et est une constante, a priori inconnue, mais qui est la même pour toutes les antennes. La position du téléphone portable est repérée par ses coordonnées cartésiennes et .
Figure 7
D1. Exprimer simplement en fonction de X et Y .
Donner l'équation, notée (1), de la droite .
Exploitons la présence de deux autres antennes, et . constitue un autre carré, identique au carré . (Figure 8)
D2. La droite est celle qui passe par et par le centre du carré AEFB. Donner, comme précédemment, l'équation (2) de la droite , en fonction de et .
D3. Déterminer les coordonnées X et Y de M en fonction de et .

2/ Découpage en cellules

La zone couverte par une antenne donnée est appelée «cellule». La comparaison des puissances en provenance des différentes antennes relais permet de savoir dans quelle cellule est localisé le téléphone et avec quelle antenne il doit communiquer. Si la puissance en provenance de l'antenne est la plus forte, appartient alors à la cellule de l'antenne .
D4. Cas de deux antennes (figure A1.a du document-réponse). Compléter la figure A1.a en traçant la ligne frontière sur laquelle le téléphone reçoit une puissance identique de la part de chacune des deux antennes. En déduire la zone associée à l'antenne et indiquer la clairement sur la figure.
D5. Cas de trois antennes (figure A1.b). En s'appuyant sur la construction utilisée pour la question précédente, préciser sur la figure A1.b la cellule associée à l'antenne A.
D6. Réseaux quelconques. Par la même méthode, construire sur les figures A1.c, puis A1.d la cellule associée à l'antenne A .

DEUXIEME PARTIE CAPTEURS CAPACITIFS

E/ Capteur de champ électrique

Pour vérifier que le champ électrique rayonné par des antennes relais n'est pas supérieur aux normes de sécurité, il faut disposer de capteurs de champ électrique. Dans cette partie, nous étudions un tel capteur, basé sur un effet capacitif.
Vu la fréquence des champs électriques à mesurer, la petite taille du capteur permet de traiter le problème dans le cadre de l'électrostatique.
E1. Quelle propriété doivent vérifier les dimensions du capteur pour que cette approximation de régime quasi-stationnaire soit valable?
Considérons pour commencer le condensateur plan d'axe z de la figure 9. L'aire des électrodes est notée . L'électrode 1 porte une charge par unité de surface . L'électrode 2 porte une charge par unité de surface . Elles sont séparées par une distance . Pour ce qui est de l'étude des symétries et des invariances, le condensateur peut être considéré comme infini dans les directions x et y (les effets de bord sont négligés).
Figure 9
E2. Justifier que le champ électrique est de la forme .
Considérons tout d'abord que le champ électrique est nul à l'extérieur du condensateur.
E3. Montrer que le champ entre les électrodes du condensateur est constant. Sa composante selon sera notée . Etablir une relation entre et .
E4. Montrer que la différence de potentiel aux bornes du condensateur s'écrit , où est la charge totale portée par l'électrode 1.
Donner l'expression de en fonction de et .
Ce dispositif est maintenant plongé dans un champ extérieur uniforme , dont la mesure est envisagée.
E5. Montrer que .
Le dispositif peut alors être représenté par le schéma électrique de la figure 10.
Le champ électrique varie sinusoïdalement à la pulsation .
E6. Montrer que, si est grande par rapport à une valeur limite , il est alors possible d'écrire: . Exprimer en fonction de et . En déduire l'expression de la constante en fonction des données.
En réalité, les électrodes ont la forme de demisphères de rayons et (voir photographie, figure 11). Comme elles sont espacées d'une distance et , les résultats précédents restent valables, à condition de prendre pour la surface d'une demi-sphère.
Données : ,
Figure 11 : exemple de capteur (doc. ETCA)
E7. Calculer numériquement et . Que penser par ailleurs de l'approximation quasistationnaire?

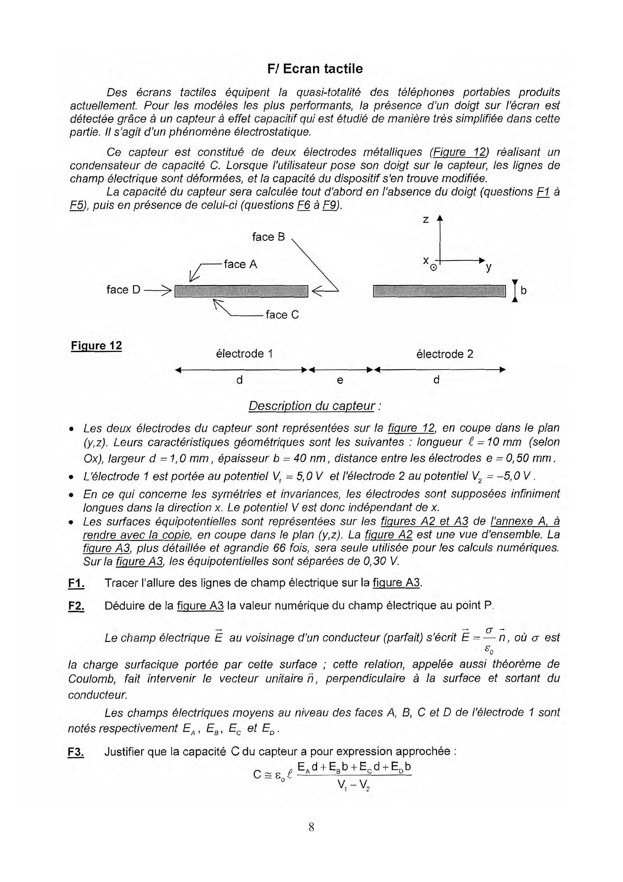
F/ Ecran tactile

Des écrans tactiles équipent la quasi-totalité des téléphones portables produits actuellement. Pour les modèles les plus performants, la présence d'un doigt sur l'écran est détectée grâce à un capteur à effet capacitif qui est étudié de manière très simplifiée dans cette partie. II s'agit d'un phénomène électrostatique.
Ce capteur est constitué de deux électrodes métalliques (Figure 12) réalisant un condensateur de capacité C. Lorsque l'utilisateur pose son doigt sur le capteur, les lignes de champ électrique sont déformées, et la capacité du dispositif s'en trouve modifiée.
La capacité du capteur sera calculée tout d'abord en l'absence du doigt (questions F1 à ), puis en présence de celui-ci (questions F6 à F9).
Figure 12

Description du capteur :

  • Les deux électrodes du capteur sont représentées sur la figure 12, en coupe dans le plan ( ). Leurs caractéristiques géométriques sont les suivantes : longueur (selon Ox), largeur , épaisseur , distance entre les électrodes .
  • L'électrode 1 est portée au potentiel et l'électrode 2 au potentiel .
  • En ce qui concerne les symétries et invariances, les électrodes sont supposées infiniment longues dans la direction . Le potentiel est donc indépendant de .
  • Les surfaces équipotentielles sont représentées sur les figures A2 et A3 de l'annexe A, à rendre avec la copie, en coupe dans le plan (y,z). La figure A2 est une vue d'ensemble. La figure A3, plus détaillée et agrandie 66 fois, sera seule utilisée pour les calculs numériques. Sur la figure A3, les équipotentielles sont séparées de .
F1. Tracer l'allure des lignes de champ électrique sur la figure A3.
F2. Déduire de la figure A3 la valeur numérique du champ électrique au point .
Le champ électrique au voisinage d'un conducteur (parfait) s'écrit , où est la charge surfacique portée par cette surface ; cette relation, appelée aussi théorème de Coulomb, fait intervenir le vecteur unitaire , perpendiculaire à la surface et sortant du conducteur.
Les champs électriques moyens au niveau des faces et de l'électrode 1 sont notés respectivement et .
F3. Justifier que la capacité C du capteur a pour expression approchée :
F4. Calculer numériquement la capacité C , sachant que , et . Proposer une méthode simple de mesure de C .
L'utilisateur place désormais son doigt sur l'écran. La conductivité de l'intérieur du corps humain est assez élevée pour que celui-ci soit assimilé à un conducteur. Pour simplifier, ce conducteur sera supposé plan et situé à une hauteur h=0,20 mm au-dessus du capteur (voir figure 13).

Figure 13
F5. Préciser, en la justifiant succinctement, la valeur du potentiel du doigt. Reproduire sommairement la figure 13 sur votre copie, en y ajoutant l'allure des équipotentielles pour cette situation. Justifier que le champ électrique au voisinage d'une des faces de l'électrode 1 augmente, par rapport à la situation sans le doigt.
F6. Estimer numériquement la valeur de la capacité du capteur en présence du doigt. Conclure sur le fonctionnement du capteur.
Pour vérifier l'estimation précédente de , proposons le schéma électrique simplifié de la figure 14.
F7. Quelle zone de ce circuit équivalent représente le doigt de l'utilisateur ? Expliquer très succinctement l'expression donnée à '. Justifier que ce circuit équivaut finalement à un seul condensateur de capacité . Exprimer en fonction de et . Calculer numériquement . Conclure.
F8. Quelle doit être la propriété particulière de ces électrodes pour qu'elles puissent être utilisées dans un écran tactile?

TROISIEME PARTIE CHIMIE DU LITHIUM

La plupart des équipements électroniques nomades actuels (ordinateur, téléphones portables, appareils photo, ...) sont équipés de piles et de batteries lithium-ion.
Le lithium est un réducteur puissant ; il possède une énergie de première ionisation et une électronégativité relativement faibles.
Le lithium n'est présent sur terre que sous formes d'oxydes ou de carbonates tel dans les lacs salés de Uyuni (Bolivie) et de Atacama (Chili). Le carbonate de lithium est traité par l'acide chlorhydrique pour obtenir du chlorure de lithium, LiCl , dont l'électrolyse permet d'isoler le lithium métallique.
Toutes les données numériques nécessaires sont fournies en fin de partie.

G / Chimie générale et structurale

G1. Donner le nom de la famille d'éléments à laquelle appartient le lithium ; citer au moins deux autres éléments de cette famille.
G2. Expliquer le caractère fortement réducteur du lithium.
G3. Analyser pourquoi le lithium métallique n'existe pas à l'état naturel.
A la température ambiante, le lithium possède une structure cubique centrée.
G4. Représenter la maille cristallographique ; préciser la coordinence du lithium.
Déterminer le paramètre de maille , sachant que le rayon de l'atome de lithium vaut ; en déduire la compacité ainsi que la masse volumique ; commenter.
Le chlorure de lithium cristallise selon le type NaCl : les ions chlorure forment un réseau cubique à faces centrées, dans les sites octaédriques duquel se logent les ions lithium, tandis que les ions chlorure sont au contact entre eux. Leurs rayons ioniques valent, d'après les tables, et .
G5. Représenter la maille de LiCl , projetée dans le plan de l'une de ses faces.
Déterminer la direction correspondant au contact des ions chlorure ; en déduire le paramètre de la maille compte tenu des valeurs des rayons ioniques de ces ions. Les ions chlorure et lithium sont-ils au contact le long d'une arête du cube ? Commenter. Préciser la nature de la liaison chimique dans LiCl .

H / Réactivité du lithium avec l'eau

Le lithium (solide) décompose l'eau avec dégagement de dihydrogène, selon la réaction [R1]: ; la solution obtenue devient fortement basique.
H1. Exprimer puis calculer l'enthalpie standard de réaction ainsi que l'entropie standard de réaction, relatives à la décomposition de l'eau par le lithium. En déduire l'expression de l'enthalpie libre standard de [R1] en fonction de la température (se placer dans les conditions de l'approximation d'Ellingham).
H2. Calculer la constante d'équilibre de la réaction [R1] à 298 K ; commenter le résultat obtenu.
H3. Ecrire les équilibres des couples associés à la réaction , ainsi que leurs potentiels électrochimiques.
H4. Relier la constante d'équilibre de la réaction [R1] à ces potentiels électrochimiques.
En déduire la valeur du potentiel d'oxydoréduction (à 298 K ) du couple . Le comparer à celui du sodium qui vaut .
H5. Rappeler le comportement d'autres éléments de la famille du lithium, vis-à-vis de l'eau et décrire l'expérience réalisable.

I / Pile au lithium

Les piles au lithium équipent de nombreux appareils électroniques modernes, notamment les téléphones portables et appareils photographiques.
Ce type de pile est constituée d'une borne positive en dioxyde de manganèse et d'une borne négative en lithium ; l'électrolyte est un sel de lithium (LiPF ) dissout dans un solvant organique (carbonate de propylène) et concentré en ions (milieu acide). Les couples électrochimiques concernés sont respectivement et .
11. Ecrire les réactions intervenant à chaque électrode, en précisant leur nature. En déduire la réaction globale de la pile ainsi que sa f.e.m. théorique initiale. Pourquoi l'électrolyte est-il un solvant organique?
12. Déterminer la quantité de matière de Li disponible, ainsi que le nombre de moles d'électrons que peut transférer la pile. En déduire la quantité d'électricité (exprimée en C puis en A.h) qu'elle peut fournir.
13. Exprimer la capacité massique , c'est-à-dire la quantité maximale d'électricité que peut débiter la pile par kilogramme de lithium. Positionner la capacité massique d'une pile au lithium par rapport à des piles pour lesquelles les capacités massiques (en A.h.kg ) s'élèvent respectivement à ou .
14. Calculer l'autonomie, en années, de la pile. Quand est-elle usée ?
Données: masse de l'électrode en lithium : ; courant débité par la pile : .

DONNEES NUMERIQUES

Données numériques générales :

Masses molaires atomiques (g. ) :
Li : 6,94 ; CI : 35,5
Electronégativités de Pauling
Li : 0,98 ; CI : 3,16
Constante des gaz parfaits :

Constante d'Avogadro:
o

Données thermodynamiques:

Elément ou composé Enthalpie standard de formation à en Entropie molaire standard à en Energie ionisation en Température de fusion (K) Masse volumique ( )
0 29,1 520 453 ?
510
0 131
-285 69,9
-508 2,70
Données électrochimiques :
Potentiels standard d'oxydoréduction à 298 K , classés par ordre croissant :
Couple
0,00 1,01
(à 298 K ) Constante de Faraday :

FIN DE L'EPREUVE

s!u.nof słuәunnoop sәุ.dde,a - ɛtol l - дSIOHJ NI

Académie:

Examen ou Concours :
Spécialité/option :
Épreuve/sous-épreuve :
NOM :
(en majuscules, suivi, s'il y a lieu, du nom d'épouse)
Prénoms :
Né(e) le
du candidat
(le numéro est celui qui figure sur la
convocation ou la liste d'appel)
NE RIEN ÉCRIRE : DANS CE CADRE
NE RIEN ÉCRIRE
043

Annexe (recto-verso), à compléter et à rendre avec la copie

DANS CE CADRE
DANS CE CADRE
DANS CE CADRE
DANS CE CADRE
  • : antenne relais (toutes les antennes émettent la même puissance)
DANS CE CADRE

Figure A2

Forme des équipotentielles correspondant au capteur capacitif étudié dans les questions F1 à F5.
Les valeurs indiquées correspondent au potentiel électrique (en Volt) le long d'une équipotentielle.
DANS CE CADRE
Tournez la page S.V.P.

La figure a été agrandie 66 fois
Forme des équipotentielles correspondant au capteur capacitif étudié dans les questions F1 à F5.
Les équipotentielles sont tracées tous les .