Version interactive avec LaTeX compilé
CONCOURS ARTS ET MÉTIERS ParisTech - ESTP - ARCHIMEDE
Durée 3 h
Si, au cours de l'épreuve, un candidat repère ce qui lui semble être une erreur d'énoncé, d'une part il le signale au chef de salle, d'autre part il le signale sur sa copie et poursuit sa composition en indiquant les raisons des initiatives qu'il est amené à prendre.
L'usage de calculatrices est interdit.
AVERTISSEMENT
Indiquer en tête de copie ou de chaque exercice le langage utilisé
Quel que soit le langage utilisé, le candidat pourra supposer qu'il dispose d'une fonction test_liste_vide qui prend en entrée une liste et renvoie le booléen 1 si la liste est vide et 0 sinon.
Le candidat pourra, s'il le juge utile, supposer que chaque liste se termine par un élément de marquage de fin de liste appelé
.
La présentation, la lisibilité, l'orthographe, la qualité de la rédaction, la clarté et la précision des raisonnements entreront pour une part importante dans l'appréciation des copies. En particulier, les résultats non justifiés ne seront pas pris en compte. Les candidats sont invités à encadrer les résultats de leurs calculs.
Exercice 1
Soit
un tableau non vide rempli avec des entiers naturels. Une pente positive (respectivement une pente négative) de longueur
est une suite de
indices consécutifs
sur lesquels
prend des valeurs croissantes
respectivement des valeurs décroissantes:
.
- Ecrire la fonction :
MAXPENTEPOS données L:tableau d'entiers naturels
résultat l:entier naturel
qui prend en entrée un tableau d'entiers naturels et renvoie la plus grande longueur de ses pentes positives.
2. Ecrire la fonction :
2. Ecrire la fonction :
MAXPENTE données L:tableau d'entiers naturels
résultat l:entier naturel
qui prend en entrée un tableau d'entiers naturels et renvoie la plus grande longueur de ses pentes (qu'elles soient positives ou négatives).
Exercice 2
Soit
un tableau de nombres entiers relatifs dont les cases sont numérotées de 1 à
. Si
et
sont deux entiers naturels tels que
, on note
le sous-tableau formé par les cases de
de
à
; on appelle sous-somme de
de la case
à la case
, et on note
, la somme des valeurs consécutives du sous-tableau
, c'est-à-dire
. On cherche la valeur maximale de toutes les sous-sommes de
. On se propose d'étudier différents algorithmes de résolution de ce problème.
- Ecrire la fonction :
CUMUL données N:entier
T: tableau d'entiers de longueur N
résultat U:tableau d'entiers de longueur N
qui prend en entrée un tableau
d'entiers de longueur
et renvoie un tableau d'entiers de longueur
dont la
-ième case contient la sous-somme
, pour
compris entre 1 et
. On précisera la complexité de cet algorithme.
2. Ecrire la fonction :
2. Ecrire la fonction :
MAXSOMME données N:entier
T: tableau d'entiers de longueur N
résultat k:entier
qui prend en entrée un tableau
de longueur
et renvoie une sous-somme maximale parmi les soussommes de ce tableau. On précisera la complexité de cet algorithme et on cherchera à minimiser cette complexité.
3. Une seconde méthode est basée sur le principe "diviser pour régner" : on divise le tableau en deux soustableaux de tailles presque égales. Proposer un algorithme récursif qui prend en entrée un tableau de nombres entiers relatifs et calcule le quadruplet (
) tel que : Si
est un tableau à
cases numérotées de 1 à
,
3. Une seconde méthode est basée sur le principe "diviser pour régner" : on divise le tableau en deux soustableaux de tailles presque égales. Proposer un algorithme récursif qui prend en entrée un tableau
-
est la somme , -
est le maximum des sous-sommes , pour compris entre 1 et , -
est le maximum des sous-sommes , pour et entiers tels que , -
est le maximum des sous-sommes , pour compris entre 1 et .
Quelle est la complexité de l'algorithme proposé?
Exercice 3
Les deux parties de cet exercice sont indépendantes.
- On dispose d'une fonction ECHANGER qui prend en entrée un tableau
d'entiers naturels et deux indices , compris entre 1 et la longueur du tableau , et échange les contenus des cases et dans le tableau.
On considère l'algorithme écrit en pseudo-langage:
PROC1 données $T$ : tableau[1..N] de 0,1
variables $\quad I, J$ :entiers
$I \leftarrow 1$
$J \leftarrow N$
tant que $I<J$ faire
si $T[I]=0$ alors $I \leftarrow I+1$
sinon ECHANGER $(T, I, J) ; J \leftarrow J-1$
fin si
fin faire
(a) Que fait ce programme sur le tableau
? Détailler son exécution.
(b) Démontrer que ce programme termine.
(c) Quel est le but de ce programme ? Le démontrer précisément.
(d) Proposer une implémentation de l'algorithme ci-dessus en remplaçant la boucle par une procédure récursive.
(e) Proposer un programme pour la fonction ECHANGER qui n'utilise pas une variable supplémentaire.
2. On dispose de deux fonctions:
(b) Démontrer que ce programme termine.
(c) Quel est le but de ce programme ? Le démontrer précisément.
(d) Proposer une implémentation de l'algorithme ci-dessus en remplaçant la boucle par une procédure récursive.
(e) Proposer un programme pour la fonction ECHANGER qui n'utilise pas une variable supplémentaire.
2. On dispose de deux fonctions:
- La fonction par qui prend en entrée un entier naturel et renvoie la valeur 0 si cet entier est pair et 1 si cet entier est impair,
- la fonction ent qui prend en entrée un nombre rationnel et renvoie sa partie entière.
On considère l'algorithme écrit en pseudo-langage:
PROC2 données $I, J$ : entiers
variables $\quad t$ :entier
$t \leftarrow 0$
tant que $I \geq 1$ faire
si $\operatorname{par}(I)=1$ alors $t:=t+J$
fin si
$J \leftarrow 2 * J$
$I \leftarrow \operatorname{ent}(I / 2)$
fin faire
Retourner $t$
(a) Ecrire l'exécution de ce programme sur les entiers
et
.
(b) Ecrire l'exécution de ce programme sur les entiers et
.
(c) Que calcule ce programme? Le justifier précisément.
(b) Ecrire l'exécution de ce programme sur les entiers
(c) Que calcule ce programme? Le justifier précisément.
Exercice 4
Soit
un alphabet fini. On note
l'ensemble des mots finis écrits avec des lettres de
.
On rappelle la définition : Soient et
deux mots dans
. Soient
dans
et
dans
tels que
et
. On dit que
est un facteur de
si
et s'il existe un entier naturel
compris entre 0 et
tel que, pour tout
compris entre 1 et
.
Soit l'ensemble des automates finis
tels que :
On rappelle la définition : Soient
Soit
- L'ensemble des états
est un ensemble fini, réunion d'un singleton et d'une partie de l'ensemble . - L'état
est l'unique état initial. - L'ensemble
est une partie de désignant l'ensemble des états finals. -
désigne l'ensemble des transitions. Il vérifie la propriété : Pour toute lettre dans l'alphabet , les transitions étiquetées par la lettre ne peuvent aboutir que dans l'état .
En raison de cette dernière propriété, dans un automate de l'ensemble
, l'étiquette d'une transition est déterminée par l'état d'arrivée de la transition. Pour cette raison, si
est un automate de l'ensemble
, si
sont deux lettres de
telle qu'il existe une transition de l'état
vers l'état
dans
, on note
cette transition et son étiquette est alors
.
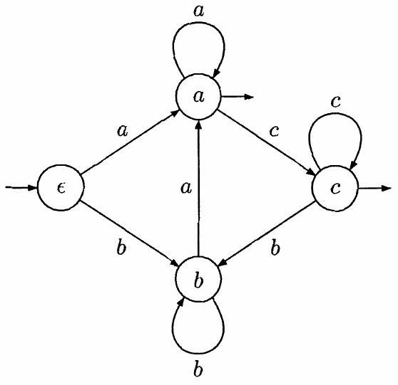
Un exemple d'un tel automate sur l'alphabet à trois lettres est donné par la figure 1. Pour cet automate
et
.
Un exemple d'un tel automate sur l'alphabet à trois lettres
On note
l'ensemble des langages reconnus par les automates de l'ensemble
.

Figure 1: L'automate
de l'ensemble
.
- Dans le cas particulier où
est l'alphabet à une lettre , dresser la liste des (six) langages de l'ensemble . Pour chacun d'eux, on dessinera un automate de l'ensemble le reconnaissant. - On considère le cas particulier où
est l'alphabet à trois lettres .
(a) Démontrer que le langage réduit au singletonappartient à . On dessinera explicitement un automate dans qui reconnait le langage ( ).
(b) Démontrer que le langageappartient à . On dessinera explicitement un automate dans qui reconnait le langage . - On revient au cas général. Soit
un entier naturel . Soit un mot de longueur dans . On note le langage réduit au singleton .
(a) On suppose leslettres distinctes deux à deux.
i. Démontrer queest dans .
ii. Démontrer queest dans .
(b) Réciproquement, on suppose que le langageest dans . Démontrer que les lettres sont distinctes deux à deux. - Démontrer qu'un automate de
est un automate déterministe. - Soit
un langage dans reconnu par un automate dans . Démontrer que le langage est dans . On pourra utiliser l'automate pour construire un automate dans qui reconnait . - Soient
et deux parties de et soit une partie formée de mots de longueur 2 . On note le langage formé par les mots dans dont la première lettre est dans , la dernière lettre est dans et ne contenant aucun facteur de longueur 2 dans .
(a) Dans le cas particulier oùest l'alphabet à deux lettres et , décrire précisément le langage .
(b) Dans le cas particulier oùest l'alphabet à trois lettres , déterminer et tels que .
(c) Toujours dans le cas particulier oùest l'alphabet à trois lettres , déterminer et tels que désignant le langage reconnu par l'automate de la figure 1.
(d) On revient au cas général. Démontrer que le langageest dans .
(e) Soitun langage dans . On note l'ensemble des lettres dans telle qu'il existe un mot de dont la première lettre est . On note l'ensemble des lettres dans telle qu'il existe un mot de dont la dernière lettre est . On note l'ensemble complémentaire des facteurs de longueur 2 de mots de . On suppose que est un langage dans ne contenant pas le mot vide. Démontrer que . - On se donne des lettres
, distinctes deux à deux. On considère les langages définis récursivement par : et, , pour un entier . Soit un entier .
(a) Démontrer queest un langage de .
(b) Proposer un algorithme qui prend en entrée l'entier naturelet retourne un automate de qui reconnait .
s!u.nof słuəunnoop sәุ.dde,a - ztol & 1 - дSIOHJ NI
