J-0
00m
00j
00h
00min
00s

Version interactive avec LaTeX compilé

E3A Mathématiques PSI 2024

Notez ce sujet en cliquant sur l'étoile
2.0(2 votes)
RéductionFonctions (limites, continuité, dérivabilité, intégration)Probabilités finies, discrètes et dénombrementEquations différentielles
Logo e3a
2025_08_29_23a75da223cfb64c1684g
Les calculatrices sont interdites.
Le sujet est composé de quatre exercices indépendants.

EXERCICE 1

Soit un entier naturel non nul. Soient et deux variables aléatoires indépendantes définies sur le même espace probabilisé et suivant la même loi binomiale .
On pose, pour tout .

1. Calcul d'une somme

1.1. Déterminer le coefficient de dans le polynôme .
1.2. En remarquant que , exprimer le coefficient précédent d'une autre manière.
1.3. En déduire une expression simplifiée de .
2. À quelle condition nécessaire et suffisante portant sur les réels et la matrice est-elle diagonalisable?
3. Calculer la probabilité de l'événement est diagonalisable .
On utilisera la question pour simplifier le résultat.
4. Calculer la probabilité de l'événement est inversible .

EXERCICE 2

On note . On rappelle que pour tout , on note .

Questions préliminaires

  1. Soit . Résoudre dans , suivant les valeurs de , l'équation différentielle .
  2. Soient et . Justifier que la fonction est de classe sur et déterminer sa dérivée.

3. Cas particuliers

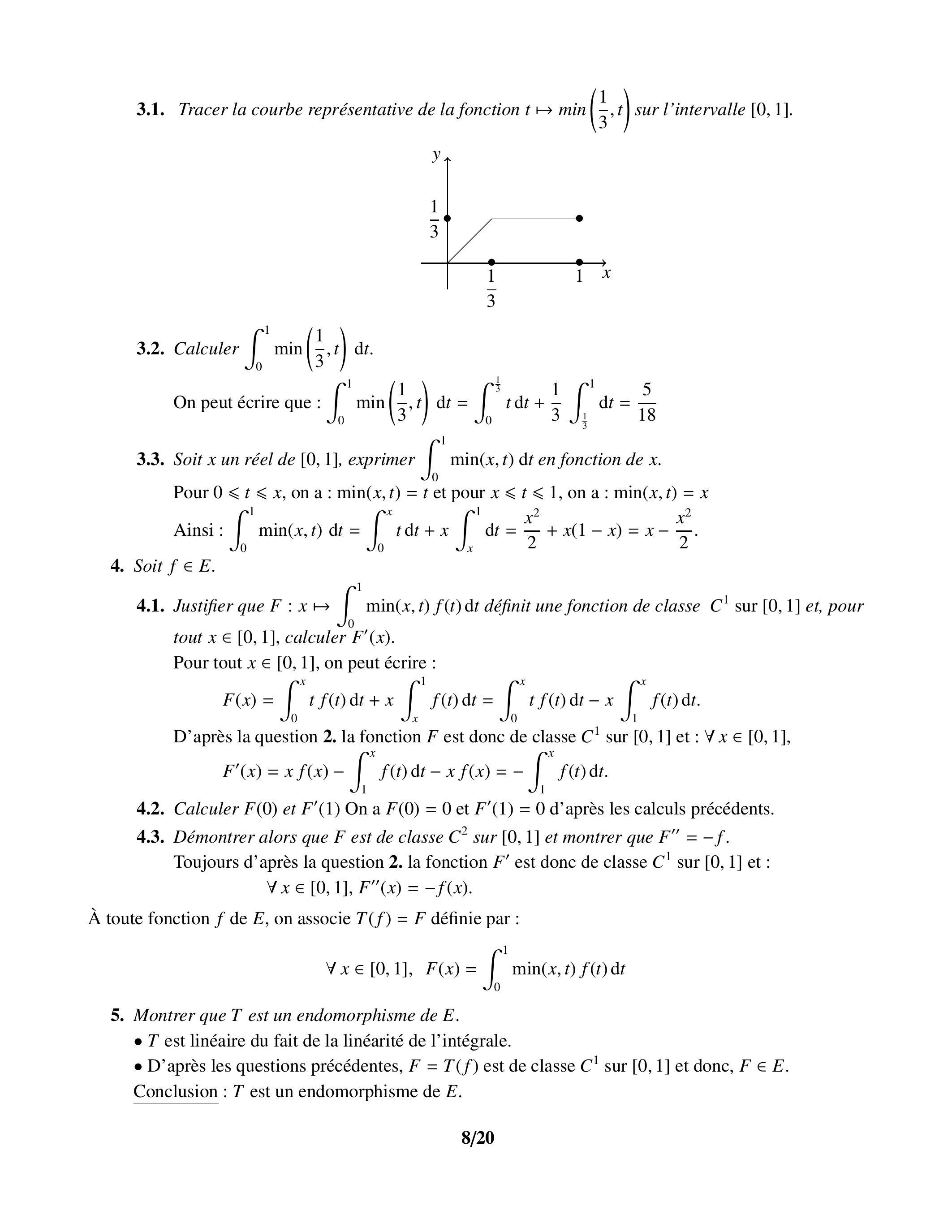
3.1. Tracer la courbe représentative de la fonction sur l'intervalle .
3.2. Calculer .
3.3. Soit un réel de , exprimer en fonction de .
4. Soit .
4.1. Justifier que définit une fonction de classe sur [0,1] et pour tout , calculer .
4.2. Calculer et .
4.3. Démontrer alors que est de classe sur et montrer que .
À toute fonction de , on associe définie par :
  1. Montrer que est un endomorphisme de .
  2. L'application est-elle injective?
  3. On pose .
    7.1. Montrer que .
    7.2. Soit . Calculer .
    7.3. Déterminer .

8. Recherche des éléments propres de

8.1. Démontrer par l'absurde que, si est une valeur propre de , alors est strictement positive. On pourra utiliser la question 4.
8.2. Déterminer les valeurs propres de T. On pourra aussi utiliser la question 4.
8.3. Pour chaque valeur propre de , déterminer la dimension et une base du sous-espace propre associé.

EXERCICE 3

Soit un entier naturel supérieur ou égal à 3 .
On identifie dans tout l'exercice et .
Pour et deux entiers naturels non nuls et pour toute matrice de , on note la matrice de , transposée de la matrice .
On rappelle que le produit scalaire canonique de deux vecteurs et de est : et que .
Soient et deux vecteurs linéairement indépendants de .
On définit la matrice de par: , où et sont deux réels et désigne le symbole de Kronecker : .
Enfin, on note l'endomorphisme de dont la matrice dans la base canonique de est .
  1. Justifier que la matrice est diagonalisable dans .
  2. On note .
    2.1. Justifier que et écrire son terme général. Cette matrice est-elle diagonalisable?
    2.2. Déterminer le rang de puis une base de son image.
    2.3. Prouver que et sont deux sous-espaces vectoriels orthogonaux.
    2.4. Prouver que et sont deux sous-espaces vectoriels supplémentaires.
    2.5. Déterminer un polynôme annulateur de degré 2 de la matrice .
    2.6. On note l'endomorphisme de canoniquement associé à la matrice . Déterminer la matrice de dans une base adaptée à la décomposition de la question 2.4.
  3. Dans le cas particulier où et , déterminer les valeurs propres de la matrice . En déduire une matrice diagonale semblable à la matrice .
  4. On revient au cas général et on se propose de déterminer les valeurs propres de la matrice , quelles que soient les valeurs de et de .
    4.1. On note et l'endomorphisme de canoniquement associé à la matrice .
    4.1.1. Déterminer .
    4.1.2. En déduire que est stable par .
    4.2. Justifier que est aussi stable par et déterminer l'endomorphisme induit par sur .
    4.3. On note .
    4.3.1. Justifier que est la matrice de l'endomorphisme induit sur par dans la base ( ).
    4.3.2. Écrire la matrice de dans une base adaptée à la décomposition .
    4.3.3. Justifier, sans calculer ses valeurs propres, que est diagonalisable dans et que ses valeurs propres sont réelles.
    4.3.4. Déterminer les valeurs propres de .
    4.4. Déterminer les valeurs propres de la matrice .

EXERCICE 4

  1. Soit un entier naturel, .
On pose, lorsque cette intégrale existe, .
1.1. Soit un réel strictement positif.
1.1.1. Rappeler un développement limité à l'ordre 2 en 0 de .
1.1.2. En déduire un équivalent, au voisinage de 1 , de .
1.2. Soit un réel.
Énoncer une condition nécessaire et suffisante pour que converge.
1.3. Justifier l'existence de pour tout .

2. Démonstration d'un encadrement

2.1. Démontrer que l'on a :
  • pour tout réel ,
  • pour tout réel négatif : .
    2.2. On pose pour tout entier naturel et pour tout réel .
Soit un entier naturel non nul.
On suppose que: .
2.2.1. Démontrer que : .
2.2.2. Démontrer également que : .
2.3. En déduire, pour tout , un encadrement de lorsque est un réel négatif ou nul.
3. Démontrer que l'on a, pour tout , pour tout et tout :
  1. Prouver que, pour tout entier naturel non nul et tout entier naturel supérieur ou égal à 2 , l'intégrale existe.
    On rappelle que est équivalent à au voisinage de 1 .
  2. Démontrer que l'on a pour tout :
  1. Soit un entier naturel non nul. Déterminer .
Les théorèmes utilisés seront cités avec précision et on s'assurera que leurs hypothèses sont bien vérifiées.
7. Prouver alors que .
8. Prouver que, pour tout entier naturel , l'intégrale existe.
9. Démontrer que l'on a pour tout entier naturel .
10. Démontrer que : .
11. Prouver enfin que : .
On admettra le résultat : .

FIN DU SUJET

ÉLÉMENTS DE CORRECTION

EXERCICE 1

  1. 1.1. D'après la formule du binôme de Newton, on a :
le coefficient de dans le polynôme est donc .
1.2. Comme suggéré dans l'énoncé, on écrit , on a :
On en déduit que le coefficient de dans ce produit est .
1.3. Par symétrie du coefficient binomial, on a .
En identifiant les deux expressions trouvées, on a
2. La matrice est triangulaire inférieure : ses valeurs propres sont les éléments de la diagonale. Si , elle a une unique valeur propre. Si elle était diagonalisable, elle serait semblable à un multiple de l'identité, ce qui n'est pas le cas. Si , elle admet deux valeurs propres distinctes, elle est donc diagonalisable.
3. D'après la question précédente, la condition nécessaire et suffisante de diagonalisation est : .
Comme , on cherche , or .
Par indépendance des variables et et parce que les évènements de la réunion sont disjoints deux à deux, on obtient :
donc: .
4. La matrice est inversible si et seulement si aucune des valeurs propres n'est nulle.
La probabilité pour que soit inversible est donc :
car les variables et sont indépendantes.

EXERCICE 2

On note . On rappelle que pour tout , on note

Questions préliminaires

  1. Soit .
L'équation caractéristique associée à l'équation différentielle est .
  • Si , les solutions de sont et . L'ensemble solution de l'équation différentielle est donc :
  • Si , l'ensemble solution de l'équation différentielle est:
  • Si , les solutions de sont et .
L'ensemble solution de l'équation différentielle est donc :
  1. Soit et a . On considère la fonction .
Comme la fonction est continue sur , d'après le théorème fondamental de l'analyse, la fonction est de classe sur et l'on a: .

3. Cas particuliers.

3.1. Tracer la courbe représentative de la fonction sur l'intervalle .

3.2. Calculer .
On peut écrire que :
3.3. Soit un réel de , exprimer en fonction de .
Pour , on a : et pour , on a :
Ainsi : .
4. Soit .
4.1. Justifier que définit une fonction de classe sur et, pour tout , calculer .
Pour tout , on peut écrire :
D'après la question 2. la fonction est donc de classe sur et : ,
4.2. Calculer et On a et d'après les calculs précédents.
4.3. Démontrer alors que est de classe sur et montrer que .
Toujours d'après la question 2. la fonction est donc de classe sur et :
À toute fonction de , on associe définie par :
  1. Montrer que est un endomorphisme de .
  • est linéaire du fait de la linéarité de l'intégrale.
  • D'après les questions précédentes, est de classe sur et donc, .
Conclusion : est un endomorphisme de .
6. L'application est-elle injective?
Soit donc par double dérivation et ainsi, , ce qui prouve que est injective.
7. On pose .
7.1. Montrer que .
Soit tel que .
Alors, est de classe sur d'après les questions précédentes et ainsi que .
Ainsi, .
7.2. Soit . Calculer .
Pour on a :
é
Par conséquent, .
7.3. Déterminer .
Des deux questions précédentes, on déduit : .

8. Recherche des éléments propres de

8.1. Démontrer par l'absurde que, si est une valeur propre de , alors est strictement positive. On pourra utiliser la question 4.
On sait déjà que 0 n'est pas valeur propre car est injective.
Si est une valeur propre de , il existe une , non nulle, telle que .
Facilement, .
Supposons, par l'absurde, que tel que .
Les solutions de l'équation différentielle sont donc de la forme , avec .
Alors, les conditions initiales donnent :
, soit , ce qui est impossible.
Conclusion : les valeurs propres de sont strictement positives.
8.2. Déterminer les valeurs propres de .
Comme tel que et les solutions de l'équation différentielle sont de la forme .
Les conditions imposent et .
Ainsi, les valeurs de qui conviennent sont les et les valeurs propres sont des réels .
Le calcul effectué permet de vérifier que l'on obtient bien ainsi toutes les valeurs propres de .
8.3. Pour chaque valeur propre de , déterminer la dimension et une base du sous-espace propre associé.
Conclusion : les valeurs propres de sont les et les sous-espaces propres associés sont les droites vectorielles de base définies par : .

EXERCICE 3

  1. est une matrice symétrique réelle, donc diagonalisable.
  2. On note .
    2.1. Soit , le coefficient d'indice ( ) de est .
De même que , la matrice est diagonalisable car symétrique réelle.
2.2. Toutes les colonnes sont un multiple de et au moins une des colonnes est non nulle car n'est pas le vecteur nul (car et sont linéairement indépendants).
Le rang de vaut 1 et on a .
2.3. Soit . On a alors donc . On a alors . Or et . On a donc et est orthogonal à . On peut aussi exprimer l'appartenance au noyau. Soit , alors pour tout . Comme est non nul, il existe un entier tel que , on a donc . On reconnaît alors le produit scalaire . On a donc ce qui montre que les deux espaces sont orthogonaux.
2.4. Les deux sous-espaces et sont orthogonaux, ils sont donc en somme directe. Par le théorème du rang, les deux espaces sont donc supplémentaires dans .
2.5. On calcule . Un polynôme annulateur de degré 2 de la matrice est .
2.6. On note l'endormorphisme canoniquement associé à .
Dans une base adaptée à la somme directe , la matrice est donc :
car .
3. On a . D'après la question précédente, on sait qu'il existe une matrice inversible telle que .
On a donc avec
On en déduit que les valeurs propres de sont 1 et .
On peut aussi prendre réel et .
On a .
On a donc . Comme on a vu que , on a et est semblable à .
4. On se propose de déterminer les valeurs propres de la matrice .
4.1. On note et l'endomorphisme de canoniquement associé à la matrice .
4.1.1. On a
4.1.2. On a montré que . De manière symétrique, on montre que donc est stable par .
4.2. D'après le cours, comme est symétrique réelle et que c'est la matrice de dans une base orthonormée, est auto-adjoint. Donc, comme est stable par , on a aussi : est stable par . Soit , alors . On a
On en déduit que .
4.3. On note .
4.3.1. On a d'après les calculs précédents. De même . La matrice est donc bien la matrice de la restriction de à dans la base ( ).
4.3.2. Par l'absurde, si on suppose que la matrice n'est pas diagonalisable, d'après 4.3.2, l'endomorphisme n'est pas diagonalisable. Donc n'est pas diagonalisable, ce qui contredit la question 1.. Donc est diagonalisable.
4.3.3. En prenant une base ( ) de , dans la base ( ), base adaptée à la somme directe , on a donc
4.3.4. Notons .
Alors,
dont les racines sont et
Il en résulte que les valeurs propres de sont .
4.4. D'après les questions précédentes, les valeurs propres de la matrice sont : 1 d'ordre , et toutes deux d'ordre 1 .

EXERCICE 4

  1. Soit un entier naturel, .
On pose, lorsque cette intégrale existe, .
1.1. Soit un réel strictement positif.
1.1.1. Le développement limité à l'ordre 2 en 0 de est :
1.1.2. En déduire un équivalent, au voisinage de 1 , de .
D'après ce qui précède :
On en déduit au voisinage de 1 :
1.2. Soit un réel.
D'après le critère de Riemann, converge, si, et seulement si, .
1.3. Soit .
La fonction est continue et positive sur .
On a : et donc, d'après Riemann , l'intégrale existe.

2. Démonstration d'un encadrement

2.1. Démontrer que l'on a :
  • Notons est fonction dérivable sur et l'on a et le tableau des variations suivant :
-
On en déduit que pour tout réel ,
  • Soit la fonction définie sur par .
    est dérivable et sa fonction dérivée est qui est positive sur d'après ce qui précède. est donc croissante sur et comme on en déduit :
2.2. On pose pour tout entier et pour tout réel
Soit un entier naturel non nul.
On suppose que:
2.2.1. Démontrer qu'on a alors :
Notons . Alors d'après l'hypothèse.
Ainsi, décroît sur et comme , on obtient pour .
2.2.2. Démontrer que l'on a également : .
On procède de la même façon pour cette inégalité.
Notons . Alors d'après l'hypothèse.
Ainsi, croît sur et comme , on obtient pour .
2.3. En déduire un encadrement de lorsque u est un réel négatif ou nul.
On procède par récurrence pour démontrer, pour , la propriété «».
  • D'après la question 2.1, pour tout réel négatif: ce qui assure l'initialisation.
  • La question 2.2 démontre l'hérédité de la propriété.
  • En conclusion, on en déduit que cette propriété est vraie pour tout entier supérieur ou égal à 1 .
  1. D'après 2 :
Or et , on a , donc pour tout :
Donc, par opérations usuelles:
  1. Notons .
Pour fixé, la fonction est continue et de signe constant sur .
  • Au voisinage de 0 , on a : et existe car .
  • Au voisinage de 1 on a : et, pour donc l'intégrale existe.
    Conclusion : et , l'intégrale existe.
  1. En écrivant la double inégalité obtenue à la question pour , en divisant par le réel strictement positif puis en intégrant entre 0 et 1 (ce que l'on vient de justifier), on obtient :
  1. On a pour tout , pour tout et tout et la fonction est intégrable sur .
    Le Théorème de convergence dominée nous permet d'obtenir : .
  2. On a :
Il résulte alors de ce qui précède que .
8. Prouver que, pour tout entier naturel , l'intégrale existe.
Si , la fonction est continue sur ]0,1] et prolongeable par continuité en 0 elle donc intégrable sur .
Si , la fonction est continue sur et intégrable sur puisque
9. Par intégrations par parties d'une intégrale impropre (attention à vérifier la convergence du crochet) , on a facilement : .
10. Pour , on pose . est continue par morceaux sur positive et intégrable sur .
Pour tout . converge simplement sur vers qui est continue par morceaux sur .
De plus qui converge (par critère de Riemann).
D'après le théorème d'intégration terme à terme :
d'où
11. On en déduit alors que , d'où .
Soit : .

COMMENTAIRES

- Commentaires généraux

Tout d'abord, comme l'an dernier, les mêmes remarques générales :
  • Les correcteurs ont signalé à de nombreuses reprises un nombre important de copies mal ordonnées, mal présentées,trop lourdement raturées (la rédaction de la copie ne doit pas occasionner un jeu de piste pour l'examinateur) : les étudiants doivent s'appliquer à présenter une copie claire et propre. Les résultats doivent être clairement mis en évidence.
    Nous nous interrogeons d'ailleurs sur l'opportunité de mettre des points de présentation.
  • Trop de candidats utilisent des abréviations utilisées par leurs professeurs mais qui n'ont pas toujours de sens pour le correcteur : il vaut mieux les éviter.
  • De même, il est préférable de ne pas écorcher le nom et l'orthographe des théorèmes cités : on voit par exemple trop souvent le «le théorème spectrale», «la loi de poisson» etc.
  • Il est rappelé que les copies doivent être correctement numérotées, dans un ordre cohérent.
Dans plusieurs copies les questions ne sont pas traitées dans l'ordre : il n'est pas rare de voir en fin de copie ou en fin de feuille double, des réponses à des questions ébauchées plus haut ou qui avaient été passées.
Parfois, on obtient des réponses à des questions d'un exercice au cours de la résolution d'un autre exercice!
La double numérotation est assez souvent omise : au lieu de la question 2.4., on lit question 4., puis vient la question 3....
  • Notons que nous avons de nouveau rencontré cette année des copies quasiment illisibles et donc lourdement pénalisées.
  • Signalons aussi que l'orthographe fantaisiste donne une très mauvaise impression à la lecture de la copie.
  • Il semble judicieux d'éviter d'utiliser des expressions telles que «il est trivial que», «par une récurrence immédiate », «il est clair que» «forcément» etc... qui indisposent le correcteur : toute proposition énoncée dans une copie se doit d'être démontrée.
  • De la même façon, les examinateurs ne goûtent guère des arguments inventés ou fallacieux pour arriver à toute force au résultat annoncé dans l'énoncé : la donnée d'un tel résultat permet en général de poursuivre la résolution de l'exercice sans avoir pu le démontrer : nous apprécions le candidat qui admet clairement le résultat en question pour continuer.
  • Il ne suffit pas d'écrire «je peux utiliser le théorème car ses hypothèses sont vérifiées »..., encore faut-il les vérifier !
  • Cette année, nous avons demandé des représentations graphiques de fonctions : nous avons pu constater que beaucoup de candidats n'y attachent pas assez d'importance et souvent les bâclent : elles permettent pourtant d'aider à la compréhension de la notion étudiée et nous sommes très attentifs au soin qu'ils y apportent.
  • Nous conseillons fortement aux candidats de prendre le temps de se relire car cela permet souvent d'éviter des erreurs basiques : par exemple, dans un développement limité, les deux termes de l'égalité ne tendent pas vers la même limite, etc...
  • Enfin, un exemple même s'il permet souvent d'aider dans la perception du problème, ne permet pas de démontrer un résultat général.
Les quatre exercices constituant le sujet permettaient de parcourir les parties les plus classiques du programme de deuxième année de classe préparatoire PSI.
  • Rappelons qu'une lecture attentive de la totalité du sujet permet souvent de comprendre l'architecture et la démarche proposée dans chaque exercice. Par exemple, trop peu de candidats ont réalisé que la
    méthode utilisée dans la question 2. de l'exercice 4 était une démonstration par récurrence.
  • Un trop grand nombre d'étudiants ne maîtrise pas les notions de base d'algèbre linéaire, même de première année, ainsi que les théorèmes principaux d'analyse du programme de deuxième année de PSI et espèrent cependant venir à bout des questions posées en utilisant des recettes toutes faites bien souvent mal comprises.
    En exemple, le Théorème du rang appliqué à une matrice de prend parfois des formes étranges : ou encore,
  • Nous constatons de nouveau une très grande maladresse dans les calculs (parfois très simples) qui sont trop rapidement abandonnés :
  • Les opérations sur les puissances posent encore beaucoup de problème à nombre de candidats.
  • On trouve encore trop d'équivalents à .
  • Les quantificateurs, les symboles sont trop souvent malmenés, voire oubliés lorsqu'ils sont fondamentaux.
  • Rappelons que lorsqu'il y a plusieurs variables qui interviennent, il est judicieux de préciser pour quelle variable on cherche un équivalent : une écriture du style ne veut pas dire grand chose.
  • Reste à signaler que les probabilités génèrent un refus de beaucoup de candidats : près de des candidats n'abordent pas cet exercice : rappelons que nous posons systématiquement un exercice de probabilité.
Conclusion : Nous souhaitons obtenir dans la résolution des exercices proposés de la rigueur, une rédaction claire et lisible et une justification des résultats en utilisant à bon escient le cours : ainsi, nous encourageons les candidats à rédiger le plus proprement, correctement et rigoureusement possible leurs copies, en détaillant clairement les calculs effectués et les théorèmes utilisés à chaque étape de la résolution, sans forcément chercher à tout traiter de façon superficielle.
Nous rappelons enfin qu'il vaut mieux admettre clairement le résultat d'une question et avancer dans la résolution du reste de l'exercice plutôt que de donner des arguments faux qui indisposent nécessairement le correcteur.
Nous proposons chaque année dans ce rapport une correction du sujet et invitons vivement les candidats à l'étudier attentivement.

- Commentaires par exercices

Nous avons compilé un certain nombres d'erreurs constatées sur les copies qu'il nous semble important de signaler dans ce rapport afin d'espérer ne plus les rencontrer l'an prochain.

- Exercice 1.

Thème de l'exercice : Probabilité pour qu'une matrice aléatoire de soit diagonalisable.
  • Q.1. : on ne peut que déplorer le nombre de copies dans lesquelles le candidat n'a pas été capable de restituer convenablement la formule du binôme de Newton.
    Par exemple dans la question 1.2., on lit régulièrement : , comme si prendre le carré était une opération linéaire.
La relation est souvent ignorée.
Rechercher les termes d'indice pour obtenir le coefficient de ne peut aboutir.
  • Q.2. Dans cette question, la condition nécessaire et suffisante n'est que très rarement bien explicitée...
  • Les conditions nécessaires et suffisantes de diagonalisation ne sont pas toujours bien connues : par exemple, certains candidats pensent qu'une matrice est diagonalisable si, et seulement si, le déterminant est non nul.
  • La recherche des racines du polynôme caractéristique de la matrice est souvent calculé en utilisant la trace et le déterminant de la matrice ce qui amène les candidats à calculer le discriminant du polynôme . Cela génère souvent des calculs lourds qui aboutissent en général à une réponse fausse...sans parler des polynômes caractéristiques faux ( vaut souvent 2) !
  • Q.4. : l'inversibilité d'une matrice semble être une notion floue et lointaine dans la tête de certains. Pour beaucoup, diagonalisable entraîne inversible !

- Exercice 2.

Thème de l'exercice : Étude de quelques propriétés de l'application linéaire .
  • La question 1., qui est une question de cours, semble être d'une difficulté insurmontable, même dans les bonnes copies.
    La résolution de l'équation caractéristique (lorsqu'elle est juste) pose beaucoup de problèmes : la plupart du temps on voit un calcul de discriminant apparaître et des calculs très lourds, souvent faux à l'arrivée... sans parler des pour un précisé négatif juste avant!
    De temps en temps, on lit que l'équation différentielle n'a pas de solution réelle lorsque : les collègues de physique-chimie seraient ravis d'apprendre qu'un oscillateur harmonique, ça n'existe pas dans le monde réel!
  • Justifier que la fonction est de classe lorsque est continue n'est pas toujours fait avec la rigueur attendue et le calcul juste de sa dérivée reste aléatoire.
  • La question 3.1. qui demandait une représentation graphique de la fonction 'est pas toujours réussie : on observe parfois une confusion avec le max, ou des choses plus étranges (graphe d'une fonction constante...).
    Il semble que beaucoup de candidats n'aient pas assimilé la définition de la fonction min qui était pourtant rappelée en début d'exercice. Cela a donné de malheureuses erreurs : comment avoir un graphe au dessus de sachant que, par définition du min, il est en dessous.
  • Dans la question 3.3., on retrouve la non compréhension du min de deux nombres : certains candidats proposent deux formules, une valable pour (en calculant ) et une pour (en calculant .
Beaucoup de candidats semblent avoir oublié que lorsque l'on écrit , alors varie de à .
On regrette que certaines copies donnent un résultat sans aucune explication : rappelons que tout résultat proposé se doit d'être justifié.
  • Dans la question 4.1., on retrouve les mêmes erreurs que dans la question précédente.
De plus, beaucoup de candidats veulent appliquer un théorème de dérivation des intégrales à paramètre et expliquent que la fonction est dérivable, bien qu'un point anguleux ait été observé sur la courbe de la question 3.1.
  • Dans la question 5., pour démontrer que l'application est linéaire, nous avons trop souvent rencontré des copies qui évaluaient au lieu de .
    Par ailleurs, signalons toujours la confusion entre fonction et image : c'est qu'il s'agit de démontrer, et non , voire pire encore comme .
  • Dans la question 6. : on remarque une confusion entre est injective et est injective. Certaines copies tentent de démontrer que !
  • La question 8.1. qui demandait d'effectuer un raisonnement par l'absurde pour prouver que les valeurs propres de l'endomorphisme étaient strictement positives commence parfois par une mauvaise hypothèse absurde (" supposons que n'est pas valeur propre de ") : rappelons qu'il est nécessaire de lire attentivement l'énoncé proposé.

- Exercice 3.

Thème de l'exercice : Étude des propriétés d'une matrice symétrique réelle. Toute la question 2., très détaillée, étudie quelques propriétés d'une matrice de rang 1.
La question 4. exhibe un sous-espace stable par l'endomorphisme de matrice dans la base canonique et propose d'utiliser une base adaptée à la décomposition pour obtenir facilement ses valeurs propres.
  • Une première remarque : le théorème utilisé dès la première question s'appelle Le théorème spectral, en lien avec le spectre... On lit sans cesse un e à la fin de spectral.
  • Dans la question 2., la matrice n'est pas toujours carrée d'ordre : assez souvent, il s'agit d'un nombre réel, donc de rang 1.
    Le fait que les colonnes soient proportionnelles est rarement vu. Parfois, le rang de est même plus grand que . Certains candidats trouvent un rang de 1 en mentionnant la colinéarité des colonnes mais ne mentionnent pas que la matrice n'est pas nulle.
    Le théorème du rang reste une catastrophe : la relation est certes très connue, mais fausse!
  • Question 3. : noter que les valeurs propres se lisent sur la diagonale des matrices diagonales, mais pas sur la diagonale des matrices diagonalisables.
  • Dans la question 4.3.3. la matrice n'est pas une matrice symétrique et on ne peut utiliser cet argument pour prouver sa diagonalisibilité.

- Exercice 4.

Thème de l'exercice : obtention d'un développement asymptotique d'une intégrale.
  • Questions 1.1. Trop peu d'étudiants connaissent les développements limités usuels même à l'ordre 2.
Rappelons qu'un développement limité ne s'arrête pas comme ça : il doit y avoir un reste. Il est fortement conseillé aux candidats de vérifier que les deux membres de l'égalité d'un développement limité au voisinage d'un point tendent vers la même limite lorsque tend vers : cela éviterait beaucoup d'erreurs.
Trop peu de copies réalisent que la question 1.1.1. est là pour aider à la résolution de la question suivante.
Les équivalents sont parfois étonnants lorsque l'on ne lit pas !
Les intégrales de Riemann sont souvent maltraitées. La réponsr reste trop fréquente.
  • La question 2.1. est très peu réussie (même la première inéquation).
Beaucoup de candidats espèrent pouvoir la démontrer en partant d'une inégalité qu'ils estiment évidente et qu'ils ne justifient pas et dont ils ne donnent en général pas le domaine d'application, comme (bien sûr vraie pour tout ) ou encore .
  • Dans la question 2.2., une erreur logique retrouvée plusieurs fois consiste à confondre "soit , on suppose" avec "on suppose pour tout ". Concrètement, cela a mené les candidats concernés à simplement remplacer par .
    Trop peu d'étudiants ont réalisé que dans la question 2. on raisonnait par récurrence.
  • La question 3. illustre un manque de rigueur chez beaucoup de candidats qui confondent allègrement et .
  • Question 4. et question 6. : beaucoup d'élèves majorent par 1 pour .
Pour démontrer la convergence des intégrales, l'argument de continuité (continuité par morceaux) est très souvent omis.
  • Question 6. : Le théorème de convergence dominée a des hypothèses...
Nous conseillons fortement aux candidats de les énoncées clairement sur leur copie, comme cela était demandé dans l'énoncé.
On retrouve la même problématique pour le théorème d'intégration termes à termes.

Luc VALETTE