J-0
00m
00j
00h
00min
00s

Version interactive avec LaTeX compilé

Centrale Physique Chimie PSI 2008

Notez ce sujet en cliquant sur l'étoile
0.0(0 votes)
Logo centrale
2025_09_04_f8339c1ac1b975e22a5dg

PHYSIQUE-CHIMIE

Les calculatrices sont autorisées.
Les différentes parties sont pour l'essentiel indépendantes.

Déchets nucléaires

Ce sujet aborde quelques aspects de la gestion des déchets nucléaires, de leur origine à un éventuel stockage en couche géologique profonde. Il s'agit ici uniquement de mettre en évidence certains aspects du problème, et de fournir des ordres de grandeur : on ne prétendra pas valider ou non la faisabilité du stockage. Un document-réponse est joint au sujet et devra être rendu avec la copie.
Les données numériques ont été rassemblées à la fin du sujet.

Partie I - L'origine des déchets

I.A - La radioactivité

La radioactivité est un phénomène physique naturel au cours duquel des noyaux atomiques instables se désintègrent en dégageant de l'énergie, pour se transformer en noyaux atomiques stables. L'évolution de la concentration d'une substance radioactive suit une loi cinétique d'ordre 1 :
I.A.1) Exprimer en fonction de et .
L'usage est de caractériser l'activité d'un atome par sa période , temps au bout duquel la concentration initiale a été divisée par deux.
I.A.2) et .
L'uranium présent dans l'écorce terrestre s'y trouve essentiellement sous forme de deux isotopes: et :
abondance
ans
ans
I.A.3) En supposant qu'au moment de la création de la Terre les quantités des deux isotopes étaient égales, donner une évaluation de l'âge de la Terre.

Filière PSI

possède la propriété d'être fissile : il peut capter un neutron lent ( ) pour fissionner en plusieurs atomes plus légers et plusieurs neutrons rapides ( ).
Par exemple : .
En moyenne sur toutes les réactions possibles, chaque atome qui fissionne libère 200 MeV et 2, 5 neutrons.
I.A.4) Évaluer l'énergie récupérable dans un gramme de .
I.A.5) Quelle masse d'octane ( ), dont l'enthalpie de combustion vaut , faut-il brûler pour obtenir la même énergie? Conclure.

I.B - Modélisation du réacteur

Cette énergie est récupérée au sein d'un réacteur nucléaire. Le combustible nucléaire est essentiellement de l'uranium enrichi en (environ contre pour le minerai naturel). Il est accompagné d'un modérateur (souvent de l'eau) chargé de ralentir et d'absorber le surplus de neutrons dû à la fission. Enfin, il faut prendre en compte le
Ralentissement, absorption, diffusion
temps de diffusion d'un neutron avant qu'il ne soit capturé par un nouvel atome de . Un réacteur peut alors être modélisé comme indiqué ci-dessus en figure 1 ( et représentent les concentrations en et ).
traduit l'action modératrice de barres de contrôles (signe - ), qui peuvent être introduites mécaniquement dans le réacteur pour absorber des neutrons, avec une constante de temps . Dans la suite, on pose .
I.B.1) . Déterminer l'équation différentielle vérifiée par .
I.B.2) Montrer que si le coefficient est inférieur à une valeur à déterminer, le système est stable. La réaction de fission peut-elle être entretenue dans ces conditions?
I.B.3) . Calculer la fonction de transfert .
I.B.4) . Montrer que l'équation différentielle vérifiée par s'écrit :
La résoudre complètement pour .
I.B.5) . Montrer qu'il existe une valeur critique de telle que :
I.B.6) Interpréter en une phrase le cas .
I.B.7) Interpréter en une phrase le cas .
I.B.8) . Calculer la constante de temps du réacteur. Conclure.
Certains produits de fission des sont radioactifs, et se désintègrent avec une période » : une fraction des neutrons rapides est retardée. Le fonctionnement du réacteur est mieux modélisé par la figure 2 ci-contre.
I.B.9) Donner la nouvelle fonction de transfert

du réacteur.
I.B.10) . Pour s et . Définit et calculer la nouvelle constante de temps du réacteur. Comparer au résultat du I.B.8.
I.B.11) Lorsque que la teneur en devient trop faible, en fin de vie du combustible, diminue et le réacteur ne peut plus fonctionner. Justifier ces affirmations.

I.C - Le retraitement

La composition du combustible, pour 1000 kg de métal lourd initial, est donnée dans le tableau 1 ci-après.
Le combustible usagé peut alors être retraité, pour séparer les divers éléments. Le retraitement consiste à concasser le combustible usagé, qui se présente sous forme d'oxydes, et à le dissoudre dans une solution aqueuse d'acide nitrique. Le plutonium et l'uranium se dissolvent suivant les réactions :

Tableau 1 :

atome combustible neuf (kg) combustible usagé (kg)
Actinides majeurs 37 7
963 929
Autres - 8
- 10
Actinides mineurs Np,Am,Cm - 1
Produits de fission - 35
I.C.1) Préciser les nombres d'oxydation de N dans et . Une de ces réactions est une réaction d'oxydoréduction. Laquelle?
I.C.2) En déduire les nombres d'oxydation de et dans les produits de ces réactions.
Les produits de dissolution des autres actinides, et , ont pour nombres d'oxydation respectifs et . Dans cette solution aqueuse , la concentration totale en Pu vaut . Elle est mélangée à une solution organique ( ) de phosphate de tributyle ( ). Après agitation et décantation, chaque élément se partage entre les deux phases ( ) et ( ), non miscibles, ainsi obtenues.
Le coefficient de partage est défini par
ùééé
dans la phase . Pour les actinides, si le nombre d'oxydation est pair, sinon. est également trềs faible pour les produits de fission.
I.C.3) On mélange 1 L de la solution aqueuse ( ) avec 10 L de . Après agitation et décantation, on sépare et . Calculer dans la solution .
I.C.4) L'opération est répétée une seconde fois : on mélange 1 L de la solution aqueuse ( ) avec 10 L de TBP. Après agitation et décantation, on sépare ( ) et . Calculer dans la solution .
I.C.5) Dans quelle phase se trouvent maintenant les déchets ultimes, produits de fission et actinides mineurs ? Ceux-ci sont alors vitrifiés et placés dans des colis en acier (Déchets C ).
et sont rassemblées pour former est mélangé à une solution aqueuse ( ) de nitrate uraneux en excès. Celui-ci agit avec le plutonium selon la réaction :
Soient et les phases obtenues après agitation et décantation.
I.C.6) Quel est l'intérêt de cette dernière opération?

Partie II - Le stockage de déchets

Les parties suivantes étudient de manière extrêmement simplifiée la possibilité d'un stockage géologique de ces déchets, sous une couche argileuse d'épaisseur (Figure 3). Les vecteurs seront notés en gras.

II.A - Aspect thermique

Du fait de la radioactivité des produits de fission, les déchets sont très exothermiques. Le champ de température est supposé unidimensionnel, dans un cylindre d'argile (masse volumique , conductivité thermique , capacité calorifique massique , diffusivité thermique ) de section . L'énergie thermique s'évacue suivant la loi de Fourier :
II.A.1) Quel est le nom et l'unité du vecteur ?
II.A.2) Établir l'équation de la chaleur vérifiée
Figure 3
.
II.A.3) Relier aux caractéristiques de l'argile.
II.A.4) Interpréter le résultat obtenu lorsqu'on remplace par dans l'équation de la chaleur de la question II.A.2.
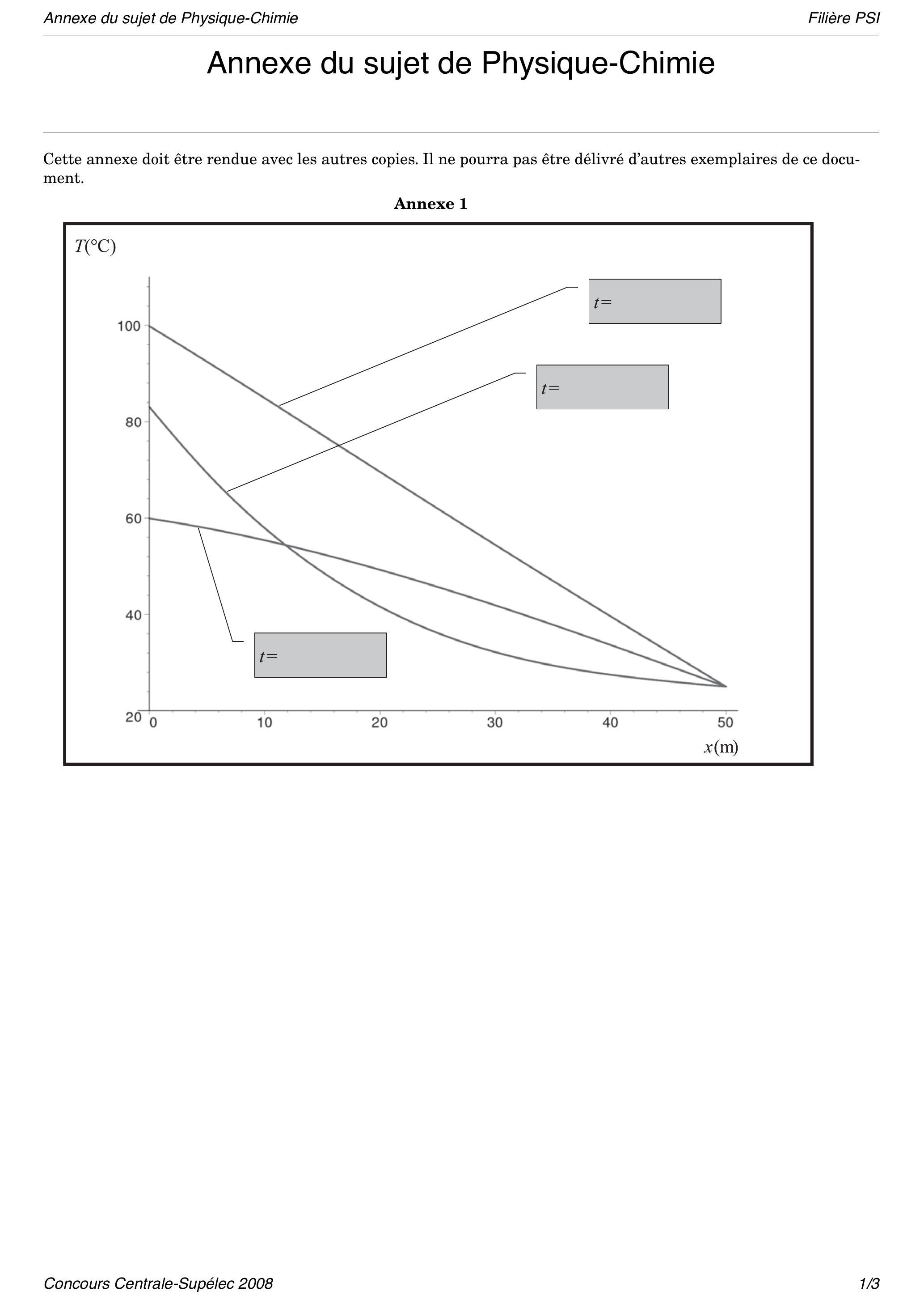
Après 30 ans d'entreposage en surface, colis de déchets sont uniformément répartis sur la surface en . La puissance dégagée par un colis suit approximativement la loi avec et ans.
II.A.5) Interpréter les conditions aux limites :
La solution est représentée sur l' annexe 1, au bout de 10, 40 et 100 ans, avec , dans le cas où la température maximale tolérée est de .
II.A.6) Compléter le diagramme de l'annexe 1 en identifiant les trois courbes et en justifiant rapidement.
II.A.7) . À partir de ce diagramme, expliquer comment on peut accéder à la surface nécessaire à l'enfouissement du stock des déchets français, estimé à 36000 colis. Donner une estimation numérique de cette surface.
II.A.8) Il est envisageable d'attendre 30 années supplémentaires avant d'enfouir les déchets en profondeur. Quelle est la nouvelle surface de stockage nécessaire?

II.B - Confinement des déchets

Les colis en acier (assimilé ici à du fer) ont pour but de retarder le contact entre les déchets et l'argile. Cette partie étudie l'interaction d'un colis avec l'eau présente dans l'argile. L'annexe 2 donne le diagramme potentiel du fer, à , tracé pour une concentration de référence (à déterminer) pour les espèces solubles. Les espèces prises en compte sont: , (goethite) et (magnétite).
II.B.1) Compléter le diagramme en précisant les espèces associées aux différents domaines.
II.B.2) Établir la configuration électronique du fer ; en déduire celle des ions ferreux et ferriques .
II.B.3) Déterminer la valeur du potentiel standard à . Faire l'application numérique. Pourquoi est-elle nulle?
II.B.4) En déduire, à l'aide du diagramme, la concentration de référence choisie.
II.B.5) Déterminer par le calcul la pente de la frontière entre les domaines de et .
II.B.6) Déterminer par le calcul les coordonnées du point d'intersection des domaines de et et .
II.B.7) Donner les équations des frontières du diagramme potentiel- de l'eau (aux frontières, la pression sera prise égale à bar pour les espèces gazeuses). Représenter ces frontières sur l' annexe 2.
II.B.8) Pendant la phase de remplissage, le site de stockage souterrain est bien ventilé, l'oxydant est l'oxygène. Quel est alors le produit solide de corrosion du fer?
Une fois le site de stockage fermé, la présence d'argile impose un voisin de 8 et un potentiel voisin de . Le seul oxydant présent est l'eau.
II.B.9) Quel est alors le produit de corrosion du fer? Écrire l'équation-bilan correspondante ( ), pour une mole d'oxyde formé.
II.B.10) La vitesse de corrosion d'un colis (diminution de son épaisseur par unité de temps) au sein du stockage est approximativement multipliée par deux lorsque la température passe de à .
En déduire une énergie d'activation apparente , et donner sa valeur numérique en .
Aux temps longs, la densité de courant associée à la corrosion, conformément à l'équation , est estimée à .
II.B.11) Exprimer la vitesse de corrosion (diminution de l'épaisseur par unité de temps) en fonction et .
Application numérique : évaluer le temps nécessaire pour corroder un colis de 50 mm d'épaisseur. On donne .
II.B.12) Déterminer le volume de dihydrogène gazeux produit par unité de temps et par unité de surface du colis, en considérant que est produit à et bar.
Application numérique : exprimer le résultat en .
II.B.13) Une partie du dihydrogène s'accumule au voisinage du colis. Quelle est l'avantage de cette accumulation, du point de vue thermodynamique?
II.B.14) Les produits de corrosion solides ont en général une masse volumique inférieure à celle du fer, d'où un phénomène d'expansion. On met ici en évidence ce phénomène sur le cas simple de l'oxyde ferreux FeO , de masse volumique .
En déduire la valeur numérique du facteur de gonflement , rapport du volume d'oxyde formé sur le volume de fer oxydé. Quelle conséquences cela peut-il avoir?
Les espèces chimiques issues des colis de déchets sont susceptibles d'interagir avec les produits issus de la corrosion. Par exemple, à la surface d'un oxyde de fer, il apparaît des sites amphotères, notés . Ces sites seront considérés comme des espèces en solution, en assimilant notamment leur activité chimique à leur concentration. Ces sites sont susceptibles d'accepter ou de céder un proton ; les pKa respectifs des couples acido-basiques et sont notés et . Le «point de charge nulle» de l'oxyde de fer est défini comme le pour lequel sa surface est globalement neutre.
II.B.15) Quelle est au point de charge nulle la relation entre [ ] et [ ] ? Établir en ce point l'expression du , en fonction de et .
II.B.16) En déduire, qualitativement, dans quelles zones de respectives des cations ou des anions pourront se fixer préférentiellement à la surface de l'oxyde.
II.B.17) Sachant que le point de charge nulle de la magnétite est proche de 6 , quelles conséquences cela peut-il avoir pour des actinides présents sous forme de cations, tels que ou par exemple ? De nombreuses espèces sont ainsi fortement retenues dans les produits d'altérations des verres et des colis.

II.C - Barrière géologique

On s'intéresse maintenant à une espèce non retenue au voisinage du colis. Cette espèce est alors susceptible de diffuser dans l'argile environnante. La géométrie utilisée est la même que dans la partie II.A (figure 3), et le problème est encore considéré unidimensionnel. On négligera ici la décroissance radioactive des concentrations.
Simultanément à la diffusion, une partie des déchets se fixe dans l'argile (phénomène de sorption). On écrit donc la concentration totale de l'espèce considérée (en ) sous la forme , où et représentent respectivement la concentration en espèce mobile et la concentration en espèce fixée. Ces deux concentrations sont liées par , où est une constante.
Le vecteur densité de courant de particules ( ) s'obtient alors par la loi de Fick, à partir de la concentration en espèce mobile , où est le coefficient de diffusion (en ) de l'espèce mobile.
II.C.1) À l'aide d'un bilan de matière dans une tranche d'argile de section , comprise entre et , montrer que vérifie une équation de diffusion :
où l'on exprimera en fonction de et .
On impose les conditions aux limites :
II.C.2) Justifier que la solution de l'équation de la diffusion en régime permanent soit une fonction affine de . Expliciter complètement cette solution. On pose .
II.C.3) Donner l'équation et les conditions aux limites vérifiées par . On cherche pour une solution de la forme et sont deux fonctions à déterminer.
II.C.4) Montrer que est nécessairement de la forme , où et sont deux constantes. Justifier .
II.C.5) En déduire la forme de . En tenant compte des conditions aux limites en et , montrer que ne peut prendre que les valeurs discrètes , où est un entier non nul, et préciser la valeur de en fonction de et .
La fonction , périodique de période , impaire, et qui coïncide sur avec admet comme développement en série de Fourier :
II.C.6) Vérifier soigneusement que
est solution de ce problème de diffusion.
II.C.7) Donner l'expression littérale du flux à travers la surface , en .
II.C.8) En déduire la quantité de matière évacuée à la surface entre 0 et ; on donne :
II.C.9) Montrer que admet une asymptote pour , dont les paramètres permettent de déterminer les valeurs de et de .
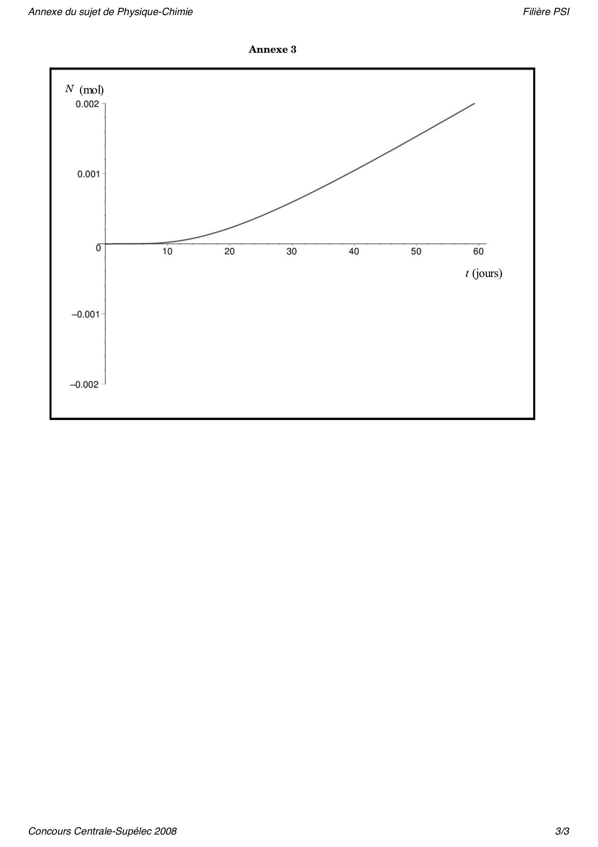
La courbe expérimentale de l'Annexe 3 a été réalisée pour une expérience modèle de diffusion des cations lithium dans une argile, avec et .
II.C.10) En déduire graphiquement les valeurs numériques de et . Calculer .
II.C.11) Déterminer l'ordre de grandeur du temps nécessaire au lithium pour atteindre la biosphère, que l'on considérera distante de 50 m . Quel serait ce temps en l'absence de sorption?

Données :

Constante des gaz parfaits
Constante de Faraday 96500 C
Charge élémentaire
1 eV
Nombre d'Avogadro
Numéro atomique Masse molaire
6 12
1 1
8 16
Fe 26 56
Les données suivantes sont fournies à
Potentiel stan-
dard
enthalpie libre
standard de formation
0

Annexe du sujet de Physique-Chimie

Cette annexe doit être rendue avec les autres copies. Il ne pourra pas être délivré d'autres exemplaires de ce document.
Annexe 1

Filière PSI

Annexe 2

Annexe 3
Centrale Physique Chimie PSI 2008 - Version Web LaTeX | WikiPrépa | WikiPrépa