Version interactive avec LaTeX compilé
Explosion, propulsions chimique et électromagnétique (coilgun)
L'hydrazine est le premier propergol à avoir été utilisé pour la propulsion aéronautique, en particulier dans les avions fusées Messerschmitt Me 163. La formule de l'hydrazine est
.
Certaines données utiles sont rassemblées en fin d'énoncé.
Certaines données utiles sont rassemblées en fin d'énoncé.
I L'hydrazine
La tableau suivant compare quelques données physico-chimiques de l'hydrazine à celles de l'eau, de l'éthanol et de l'éthane.
| Hydrazine | Eau | Éthanol | Éthane
|
|
| Température fusion
|
2 | 0 | -117 | -183 |
| Température ébullition
|
114 | 100 | -79 | -89 |
| Moment dipolaire (D) | 1,75 | 1,85 | 1,66 |
I.
- Donner la structure de Lewis de la molécule d'hydrazine.
Donner un ordre de grandeur pour les angles HNH.
Compte tenu des données, quelle structure tridimensionnelle peut-on proposer pour l'hydrazine?
I. - Comment expliquer la valeur élevée des températures de fusion et d'ébullition de l'hydrazine ? D'après vous, l'hydrazine est-elle très miscible ou peu miscible dans l'eau? Justifier.
I. - Comme l'eau, l'hydrazine est un amphotère. Écrire l'équation bilan de l'autoprotolyse de l'hydrazine. La constante de cet équilibre à 298 K est
. Faire une comparaison avec l'eau.
Compte tenu des données, quelle structure tridimensionnelle peut-on proposer pour l'hydrazine?
I.
I.
II Pile à hydrazine
L'hydrazine a été remise au gout du jour par le constructeur automobile Daihatsu : elle remplace l'hydrogène dans les piles à combustibles, sources d'énergie pour les moteurs.
Une pile à combustible est constituée de (figure 1) :
Une pile à combustible est constituée de (figure 1) :
- deux électrodes métalliques poreuses permettant le passage du combustible et du dioxygène ;
- un électrolyte contenant des ions
pour la pile à hydrogène et pour la pile à hydrazine.

Figure 1
Pour la pile à hydrogène, le combustible est du dihydrogène sous forme gazeuse, la réaction se fait en milieu très acide. Pour la pile à hydrazine, le combustible est une solution aqueuse à
en hydrazine, la réaction se fait en milieu basique.
II. - On donne les potentiels standard
II.
| Couple |
|
|
|
|
|
0,00 | 1,23 |
|
II.A.1) Pour chacune des piles, écrire, pour les différents couples susceptibles d'intervenir, les demi-équations rédox.
II.A.2) Pour chacune des piles, reproduire succinctement la figure 1 en indiquant :
II.A.2) Pour chacune des piles, reproduire succinctement la figure 1 en indiquant :
- le nom des électrodes;
- le nom des produits 1 et 2 ;
- le sens de circulation des électrons;
- le sens de circulation du courant ;
- le sens de déplacement des ions dans l'électrolyte;
- les pôles de la pile.
II.A.3) Pour chaque pile, écrire l'équation bilan de la réaction et déterminer la valeur de sa constante d'équilibre. Commenter les résultats obtenus.
II.A.4) Écrire l'équation de combustion de l'éthane par le dioxygène. Quel est un avantage de la pile à combustible par rapport à un moteur thermique utilisant la combustion de l'éthane?
II.B - Choix des électrodes
II.B.1) Dans la pile à hydrogène, les électrodes sont en platine. Dans la pile à hydrazine, l'électrode en contact avec l'hydrazine est en nickel, celle en contact avec le dioxygène est en cobalt. Quelle doit être la principale propriété des électrodes utilisées dans les piles à combustible ?
II.B.2) Les diagrammes potentiel-pH simplifiés du cobalt, du nickel et du platine sont donnés figure 2. Les diagrammes potentiel-pH du cobalt et du nickel peuvent être considérés comme identiques.
II.B.2) Les diagrammes potentiel-pH simplifiés du cobalt, du nickel et du platine sont donnés figure 2. Les diagrammes potentiel-pH du cobalt et du nickel peuvent être considérés comme identiques.

Figure 2 Diagrammes potentiel-pH du cobalt, du nickel et du platine
a) Qu'appelle-t-on domaines d'immunité, de corrosion et de passivité ?
b) À quoi correspondent les trois domaines A , B et C délimités par les deux droites en pointillés relatives aux couples rédox de l'eau?
II.B.3) Compte tenu des conditions opératoires pour chacune des piles et en exploitant les diagrammes potentiel-pH de la figure 2, justifier le choix des électrodes. Est-il possible d'utiliser une électrode en cobalt ou nickel pour la pile à hydrogène ? Quelles peuvent être les raisons qui ont conduit au choix des électrodes en nickel et en cobalt pour la pile à hydrazine ?
b) À quoi correspondent les trois domaines A , B et C délimités par les deux droites en pointillés relatives aux couples rédox de l'eau?
II.B.3) Compte tenu des conditions opératoires pour chacune des piles et en exploitant les diagrammes potentiel-pH de la figure 2, justifier le choix des électrodes. Est-il possible d'utiliser une électrode en cobalt ou nickel pour la pile à hydrogène ? Quelles peuvent être les raisons qui ont conduit au choix des électrodes en nickel et en cobalt pour la pile à hydrazine ?
II.C - Rendement de la pile à combustible
On se place à
. On donne:
| Composant |
|
|
|
|
|
|
51 | -10 | -286 | |
|
|
121 | 205 | 63 | 70 |
II.C.1) Une valeur d'enthalpie de formation n'est pas précisée dans le tableau précédent. Pourquoi?
II.C.2) Pour un accroissement élémentaire de l'avancement de la réaction, on note respectivement
et
le transfert thermique et le travail électrique (travail utile) reçus par la pile.
Le rendement thermodynamique de la pile est défini par . Justifier cette expression.
II.C.3) Pour simplifier les calculs, on fait l'hypothèse d'un fonctionnement réversible, isotherme et isobare.
a) Pour un accroissement élémentaire de l'avancement de la réaction, donner, dans ces conditions, les expressions de
et
en fonction de
et
, respectivement les variations de l'enthalpie et de l'enthalpie libre de la pile.
b) Relier et
à
.
c) En déduire alors l'expression du rendement en fonction des grandeurs standard de réaction. Faire l'application numérique.
II.C.4) On souhaite comparer ce résultat à celui obtenu pour un moteur thermique fonctionnant selon un cycle de Carnot. Proposer des valeurs pour les températures des sources froide et chaude en contact avec le moteur. Après l'avoir défini, évaluer le rendement thermodynamique de ce moteur thermique. Commenter.
II.C.2) Pour un accroissement élémentaire
Le rendement thermodynamique de la pile est défini par
II.C.3) Pour simplifier les calculs, on fait l'hypothèse d'un fonctionnement réversible, isotherme et isobare.
a) Pour un accroissement élémentaire
b) Relier
c) En déduire alors l'expression du rendement en fonction des grandeurs standard de réaction. Faire l'application numérique.
II.C.4) On souhaite comparer ce résultat à celui obtenu pour un moteur thermique fonctionnant selon un cycle de Carnot. Proposer des valeurs pour les températures des sources froide et chaude en contact avec le moteur. Après l'avoir défini, évaluer le rendement thermodynamique de ce moteur thermique. Commenter.
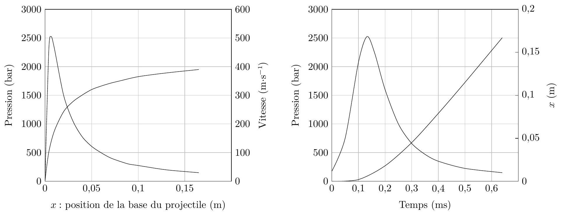
III Propulsion chimique du projectile
Les munitions à poudre utilisent un explosif rapide primaire pour amorcer la déflagration de la poudre qui propulse alors le projectile. Nous allons considérer un calibre 9 mm dont le projectile est de masse
et de diamètre
. La charge propulsive est une poudre dite «sans fumée» constituée d'un mélange de nitrocellulose et de nitroglycérine. Une masse
de cette matière est stockée sous forme gélifiée dans la douille et y occupe un volume cylindrique de longueur
et de diamètre
.
L'enthalpie massique de réaction de la décomposition de la poudre en de nombreux gaz diatomiques est . On suppose que les gaz produits sont parfaits et que le rapport de leur capacité calorifique à pression constante à celle à volume constant est
. Par souci de simplification du paramétrage, nous allons considérer que le front de réaction de la poudre se situe du côté du projectile et qu'il est situé à la distance
du fond de la douille. Le projectile a une position
et une vitesse
, telles que représentées sur la figure 3 . On considèrera une arme de poing dont la longueur du canon est
et de section
correspondant au calibre. La figure 4 présente des informations sur le tir avec cette arme.
L'enthalpie massique de réaction de la décomposition de la poudre en de nombreux gaz diatomiques est

Figure 3

Figure 4 D'après l'ouvrage Traces d'armes à feu de Alain Gallusser, expert en sciences criminelles
III.A - Estimer la fraction d'énergie chimique convertie en énergie cinétique du projectile.
III.B - En considérant l'ensemble {poudre+projectile}, montrer qu'au cours de la déflagration, la conservation de l'énergie conduit à l'équation de balistique intérieure suivante:
III.B - En considérant l'ensemble {poudre+projectile}, montrer qu'au cours de la déflagration, la conservation de l'énergie conduit à l'équation de balistique intérieure suivante:
Préciser les approximations faites et les justifier à partir de la figure 4 .
III. - Dans le cadre précédent, quelle est la fraction de poudre brûlée lorsque le projectile est expulsé du canon?
III.D - La cinétique de combustion de la poudre dépend de la forme de ses grains et est donnée pour des grains cylindriques par la loi de combustion , où
est une constante positive et
la pression subie par la poudre. Estimer la valeur de la constante
en
.
III. - Proposer maintenant le jeu complet d'équations qui permettrait, par une résolution numérique, de déterminer la loi
du projectile.
III.
III.D - La cinétique de combustion de la poudre dépend de la forme de ses grains et est donnée pour des grains cylindriques par la loi de combustion
III.
IV Balistique
Tout en fonctionnant sur le même principe que l'arme de poing qui vient d'être étudiée, les canons propulsent des projectiles beaucoup plus lourds (jusqu'à quelques centaines de kilogrammes) à des portées très supérieures (quelques dizaines de kilomètres). Néanmoins pour des projectiles encore plus lourds et des portées encore plus longues, la propulsion par une charge explosive est inadaptée car elle nécessiterait des charges trop importantes. On envisage alors d'utiliser la propulsion électromagnétique, conduisant ainsi à un canon électromagnétique ou «coilgun». Des essais ont permis d'effectuer un tir d'un projectile de masse
à
par rapport à l'horizontale, permettant d'atteindre une portée
.
IV. - En négligeant tout effet de frottement de l'air (situation du vide), évaluer la vitesse et l'énergie cinétique de départ du projectile.
IV.B - Le projectile est un cylindre d'acier de diamètre .
IV.
IV.B - Le projectile est un cylindre d'acier de diamètre
On prendra : viscosité de l'air
; masse volumique de l'air
.
IV.B.1) L'action de freinage de l'air résulte de la combinaison d'un effet dû à la quantité de mouvement du projectile et d'un effet dû à la viscosité du fluide dans lequel est plongé ce projectile. Lequel de ces deux effets est prépondérant ?
IV.B.2) En supposant que seul l'effet dû à la quantité de mouvement intervient et en se plaçant dans le référentiel du projectile, montrer que la force de freinage est proportionnelle à et évaluer un ordre de grandeur du coefficient de proportionnalité.
IV.B.3) Les projectiles d'armes de poing ont une portée réelle correspondant à environ de la portée dans le vide, tandis que les gros projectiles, tels ceux d'un canon de 305 mm , ont une portée voisine de
de celle dans le vide. Expliquer qualitativement ce fait en utilisant les résultats de la question IV.B.2.
IV.B.1) L'action de freinage de l'air résulte de la combinaison d'un effet dû à la quantité de mouvement du projectile et d'un effet dû à la viscosité du fluide dans lequel est plongé ce projectile. Lequel de ces deux effets est prépondérant ?
IV.B.2) En supposant que seul l'effet dû à la quantité de mouvement intervient et en se plaçant dans le référentiel du projectile, montrer que la force de freinage est proportionnelle à
IV.B.3) Les projectiles d'armes de poing ont une portée réelle correspondant à environ
V Propulsion électromagnétique : un prototype de laboratoire
Afin d'étudier le fonctionnement du coilgun et les paramètres influents, un prototype à petite échelle (figure 5) a été monté à l'IUT de mesures physiques de Clermont-Ferrand. Un projectile en acier HSS, cylindrique, de masse
, de longueur
, de rayon
est placé à l'entrée d'une bobine à une distance
variable. Il est accéléré par cette bobine (rayon intérieur
, longueur
tours d'un fil de cuivre de diamètre
) qui est alimentée par un ensemble de condensateurs chimiques. Les condensateurs sont préalablement chargés par un générateur continu capable de délivrer des tensions jusqu'à 200 V . Un thyristor permet la décharge des condensateurs dans la bobine, le montage électrique équivalent au moment du tir est assimilé à un circuit RLC série en régime libre.

Figure 5
V.

Figure 6
V.C.1) Le choix du laser est-il convenable ?
V.C.2) Le signal délivré par la photodiode au passage du projectile à une vitesse constante de l'ordre de est donné figure 7.
V.C.2) Le signal délivré par la photodiode au passage du projectile à une vitesse constante de l'ordre de

Figure 7
a) Interpréter qualitativement la forme du signal. Discuter l'adéquation des caractéristiques de la photodiode BPW34 à la détection du passage du projectile.
b) En déduire la valeur de la vitesse du projectile.
- La figure 8 propose des enregistrements, au cours d'un premier tir d'essai, de la tension aux bornes du condensateur, du courant dans le montage et du signal aux bornes de la photodiode.
V.D.1) Identifier chacune des courbes ; donner la tension de charge du condensateur, ainsi que le courant maximal dans le montage.
V.D.2) En exploitant la figure 8, déterminer la vitesse du projectile.
V.D.3) En supposant une accélération uniforme sur 3 cm de distance, en déduire un ordre de grandeur de la force moyenne subie par le projectile.
V.D.4) La valeur de la capacité totale des condensateurs utilisés est de . Quel est le rendement du dispositif?
V.D.5) Le tir est effectué dans une plaque de polystyrène extrudé dont la résistance à la compression se chiffre par une pression maximale admissible . Par un raisonnement simple que l'on exprimera, déterminer un ordre de grandeur de l'épaisseur de polystyrène à prévoir pour arrêter le projectile.
b) En déduire la valeur de la vitesse du projectile.
V.D.1) Identifier chacune des courbes ; donner la tension de charge du condensateur, ainsi que le courant maximal dans le montage.
V.D.2) En exploitant la figure 8, déterminer la vitesse du projectile.
V.D.3) En supposant une accélération uniforme sur 3 cm de distance, en déduire un ordre de grandeur de la force moyenne subie par le projectile.
V.D.4) La valeur de la capacité totale des condensateurs utilisés est de
V.D.5) Le tir est effectué dans une plaque de polystyrène extrudé dont la résistance à la compression se chiffre par une pression maximale admissible

Figure 8

Figure 9
V.
- La figure 9 propose un zoom de l'enregistrement fourni figure 8.
V.E.1) Sur quelle courbe et dans quelle partie l'effet inductif est-il particulièrement visible?
V.E.2)
a) Dans quel type de régime libre se trouve le montage RLC série ?
b) Donner, sans démonstration, l'expression de la constante de temps d'un circuit RC série. Même question pour la constante de temps
d'un circuit RL série.
c) Déterminer la solution du régime libre du circuit RLC dans le cas considéré. Montrer qu'elle est combinaison de deux termes qui tendent respectivement vers la réponse d'un circuit RL et celle d'un circuit RC à la limite où les constantes de temps associées à ces deux circuits sont très différentes.
d) Déduire de la question précédente une interprétation de l'allure de la courbe du courant.
e) À partir de la figure 9, déterminer les constantes de temps caractéristiques du système. En déduire les valeurs de et de
.
f) Quelle est la longueur du fil de cuivre nécessaire pour réaliser la bobine ? En déduire la valeur de sa résistance. Commenter.
g) Évaluer l'ordre de grandeur de l'inductance propre d'un solénoïde de longueur , constitué de
spires jointives, en négligeant les effets de bord. En déduire l'inductance propre de la bobine. Commenter le résultat obtenu en le comparant à celui obtenu à la question e).
V.E.1) Sur quelle courbe et dans quelle partie l'effet inductif est-il particulièrement visible?
V.E.2)
a) Dans quel type de régime libre se trouve le montage RLC série ?
b) Donner, sans démonstration, l'expression de la constante de temps
c) Déterminer la solution du régime libre du circuit RLC dans le cas considéré. Montrer qu'elle est combinaison de deux termes qui tendent respectivement vers la réponse d'un circuit RL et celle d'un circuit RC à la limite où les constantes de temps associées à ces deux circuits sont très différentes.
d) Déduire de la question précédente une interprétation de l'allure de la courbe du courant.
e) À partir de la figure 9, déterminer les constantes de temps caractéristiques du système. En déduire les valeurs de
f) Quelle est la longueur du fil de cuivre nécessaire pour réaliser la bobine ? En déduire la valeur de sa résistance. Commenter.
g) Évaluer l'ordre de grandeur de l'inductance propre d'un solénoïde de longueur
Données
Accélération de la pesanteur
.
Sauf mention contraire, les valeurs indiquées sont données à 298 K .
Produit ionique de l'eau: .
Constante de Nernst : .
Perméabilité magnétique du vide : .
Conductivité du cuivre .
Extrait du tableau périodique des éléments
Sauf mention contraire, les valeurs indiquées sont données à 298 K .
Produit ionique de l'eau:
Constante de Nernst :
Perméabilité magnétique du vide :
Conductivité du cuivre
Extrait du tableau périodique des éléments
| Numéro atomique | 1 | 6 | 7 | 8 |
| Symbole | H | C | N | O |
| Masse molaire atomique
|
1,01 | 12,0 | 14,0 | 16,0 |
