J-0
00m
00j
00h
00min
00s

Version interactive avec LaTeX compilé

Centrale Physique Chimie 2 MP 2017

Notez ce sujet en cliquant sur l'étoile
0.0(0 votes)
Logo centrale
2025_09_04_b2966e86149088daa095g

Expérimenter avec un morceau de Scotch

Conditionné sous forme de rouleau, un ruban adhésif (généralement désigné par le terme «Scotch ») est constitué de deux couches solidaires l'une de l'autre : une couche «molle» sur la face interne (celle qui colle) et une couche «dure» sur la face externe du rouleau (qui parait néanmoins souple car très fine). L'épaisseur de l'ensemble est de l'ordre de quelques dizaines de micromètres. On propose d'étudier dans ce problème quelques expériences mettant en jeu les propriétés - adhésives ou autres - des rubans adhésifs.
Certaines questions, repérées par une barre en marge, ne sont pas guidées et demandent de l'initiative de la part du candidat. Les pistes de recherche doivent être consignées ; si elles sont pertinentes, elles seront valorisées. Le barème tient compte du temps nécessaire pour explorer ces pistes et élaborer un raisonnement.
Ce sujet est accompagné d'un document réponse à rendre avec la copie. Ce document réponse comporte également une annexe et regroupe des données numériques.
Les quatre parties sont indépendantes entre elles.

I Pelage d'un ruban adhésif collé sur un substrat plan

I.A - Principe de l'essai de pelage

Pour tester les propriétés d'adhésion d'un ruban adhésif, on réalise généralement des essais de pelage. Pour cela, on commence par coller le ruban adhésif à tester sur un support rigide. Puis on mesure la force qu'il est nécessaire d'appliquer à l'extrémité du ruban pour le décoller du support tout en maintenant un angle constant entre le support et la portion de ruban décollée (figure 1).
Figure 1 Pelage d'un morceau de ruban adhésif
I.A.1) Au niveau microscopique, les interactions qui permettent l'adhésion du ruban sur le support sont des liaisons de van der Waals. Citer un autre type de liaison chimique et comparer qualitativement l'énergie de liaison de ce type de liaison à celle d'une liaison de van der Waals.
I.A.2) En première approximation, la force de van der Waals entre deux molécules distantes de dérive du potentiel de Lennard-Jones , où et sont deux constantes positives.
a) Identifier, en justifiant la réponse, le caractère attractif ou répulsif de chacun des deux termes figurant dans cette expression.
b) Représenter l'allure de en fonction de . Indiquer graphiquement à quoi correspond l'énergie de liaison entre les deux molécules.
c) Justifier qualitativement que le travail que doit fournir l'opérateur pour décoller le ruban adhésif du support est proportionnel à l'aire de la surface de contact entre le ruban et son support.
Pour la suite du problème, on note , où est une constante positive caractéristique du ruban et du support mis en contact.
I.A.3) On considère dans cette question que le décollement se fait de façon quasi-statique et que le ruban est parfaitement inextensible. Le problème étant invariant par translation selon , on raisonne dans le plan Oxy. On rappelle que l'angle reste constant au cours de cette opération.
a) Exprimer le déplacement élémentaire du point I (point d'application de la force ) lorsque le front de pelage (figure 1) progresse de , ainsi que le travail de la force de pelage associé à cette progression.
b) En déduire l'expression de la force de pelage en fonction de et .
I.A.4) Le dispositif utilisé en pratique est représenté sur la figure 2. Le pelage est réalisé au moyen d'une tige horizontale, de rayon , en rotation autour de son axe, et sur laquelle s'enroule le ruban au cours de l'essai (l'axe de la tige est fixe dans le référentiel du laboratoire et situé à une hauteur au-dessus du support). Le support sur lequel est collé l'autre extrémité du ruban est animé d'un mouvement de translation horizontale à la vitesse constante dans le référentiel du laboratoire.
Figure 2 Schéma du dispositif pratique utilisé pour l'essai de pelage. Le repère est lié au support de pelage. Les points et correspondent aux limites entre les parties collée et décollée du ruban
a) Le repère étant lié au support, quelle loi d'évolution devrait-on observer si l'angle reste constant?
b) On rappelle que le ruban est supposé inextensible. Comment doit-on choisir et pour maintenir un angle de pelage constant au cours de l'essai?
c) Initialement, le ruban est positionné de sorte à avoir un angle de pelage . Commenter ce choix.

I.B - Modélisation du comportement dynamique du ruban au cours de l'essai

La loi d'évolution de prévue précédemment n'est pas toujours observée en pratique car le ruban présente un comportement légèrement élastique. Au début de l'essai, le ruban commence en effet par se tendre sans se décoller. Puis, lorsque la tension est suffisante, le décollement se produit brutalement, réduisant par conséquent la tension. Le décollement s'arrête alors spontanément, jusqu'à ce que la poursuite du mouvement tende suffisamment le ruban pour que le décollement reprenne, et ainsi de suite... Ce phénomène périodique, connu sous le nom de «stick-slip» (ou «collé-glissé »), est à l'origine du bruit caractéristique du décollement d'un ruban adhésif: «scriiich».
Dans le référentiel lié au support de pelage, la dynamique du front de pelage s'apparente à celle du système masse-ressort représenté sur la figure 3. La portion de ruban au contact du support est modélisée par la masse tandis que la portion décollée du ruban est modélisée par le ressort de raideur , de longueur à vide et dont l'extrémité est animée d'un mouvement rectiligne et uniforme à la vitesse . L'action du support sur le ruban est modélisée par une force de frottement obéissant aux lois suivantes:
  • la masse ne glisse pas sur le support tant que ;
  • lorsque la masse glisse sur le support, la force s'oppose au glissement et (avec une constante telle que ).
    On néglige l'action de la pesanteur sur l'évolution du système.
Figure 3 Système modèle pour l'étude du mouvement stick-slip
I.B.1 Le référentiel lié au support de pelage peut-il être considéré comme galiléen ?
I.B.2) À l'instant , on a et . Exprimer la longueur du ressort pour , en fonction de et .
I.B.3) On suppose de plus que . Montrer que l'évolution du système pour commence nécessairement par une phase de stick (le ruban se tend sans se décoller). Déterminer à quel instant se termine cette phase.
I.B.4) Établir l'équation du mouvement de la masse lors de la phase suivante (phase de slip). Identifier la pulsation propre du système.
I.B.5) La solution de l'équation précédente s'écrit sous la forme
Déterminer les expressions des constantes et correspondant à cette phase du mouvement.
I.B.6) Une simulation numérique permet de représenter l'évolution de la solution mathématique précédente pour différentes valeurs de la vitesse de pelage . Les paramètres choisis pour réaliser cette simulation sont :
Les courbes correspondant à et sont reproduites sur les figures A et B du document-réponse. Ces courbes sont accompagnées des portraits de phase du système, pour lesquels on représente en fonction de .
a) Faire apparaitre, sur chacun des deux portraits de phase du document-réponse, le point représentatif de l'instant . Indiquer, en le justifiant, quel est le sens de parcours de ces portraits de phase.
b) En justifiant votre raisonnement par des considérations graphiques précises, indiquer, pour chacune des deux vitesses de pelage, si la phase de slip perdure indéfiniment ou si elle cesse à un instant que l'on identifiera clairement sur les courbes.
c) Dans le(s) cas où la phase de slip cesse, représenter (directement sur les figures A et/ou B du document réponse) l'allure de la solution physique réellement obtenue et du portrait de phase associé.

II Préparation du substrat préalablement à l'essai de pelage

Quel que soit le type de colle à déposer (y compris celle présente sur le ruban adhésif) et le type de surface ciblée, on ne peut obtenir une force d'adhérence élevée et stable dans le temps qu'après un traitement chimique préalable. Cela est particulièrement vrai pour les métaux pour lesquels le défaut de force d'adhérence provient généralement de la fine couche d'oxyde ou bien de lubrifiants, d'huile de coupe, de graisse d'étirage, etc. dus au procédé de fabrication, présente à la surface de la plupart des métaux.
Un traitement particulièrement simple et encore très souvent utilisé consiste à attaquer le métal avec un acide. Ainsi, les atomes de surface sont oxydés et partent en solution entrainant avec eux les oxydes et autres impuretés.

II.A - Comparaison de différents acides minéraux

Dans cette partie on va comparer trois acides forts: les acides chlorhydrique ( HCl en solution dans l'eau), sulfurique ( en solution dans l'eau) et nitrique ( en solution dans l'eau) en vue de décaper localement une surface métallique. Les données numériques utiles sont regroupées à la fin de l'énoncé.
II.A.1) Donner les structures de Lewis de HCl et de sachant que l'élément soufre est situé en dessous de l'élément oxygène dans la classification périodique.
II.A.2) On souhaite décaper une surface de cuivre (c'est-à-dire éliminer une partie des atomes de cuivre à la surface du métal). Parmi les trois acides présentés ci-dessus, expliquer quel(s) acide(s) il est possible d'utiliser et le(s)quel(s) il n'est pas possible d'utiliser.

II.B - Étude d'une étape de la synthèse de l'acide sulfurique

L'acide sulfurique est très souvent utilisé dans l'étape de décapage (parfois en combinaison avec de l'acide nitrique, du sulfate ferrique...). Il est obtenu industriellement par hydratation du trioxyde de soufre obtenu par oxydation de , lui-même issu du traitement du soufre.
On considère la réaction, à l'équilibre thermodynamique, d'équation :
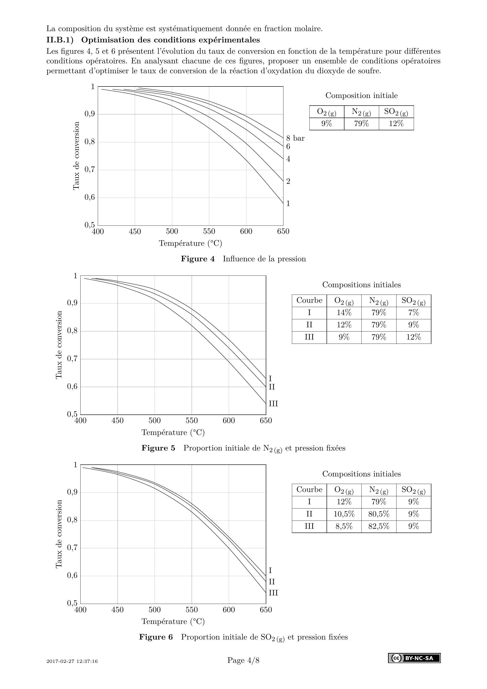
Le taux de conversion de cette réaction est défini par:
La composition du système est systématiquement donnée en fraction molaire.

II.B.1) Optimisation des conditions expérimentales

Les figures 4,5 et 6 présentent l'évolution du taux de conversion en fonction de la température pour différentes conditions opératoires. En analysant chacune de ces figures, proposer un ensemble de conditions opératoires permettant d'optimiser le taux de conversion de la réaction d'oxydation du dioxyde de soufre.
Composition initiale
Figure 4 Influence de la pression
Figure 5 Proportion initiale de et pression fixées
Figure 6 Proportion initiale de et pression fixées

II.B.2) Choix de la température - Approche théorique

Dans la suite de cette partie, on se place dans l'approximation d'Ellingham, c'est-à-dire que les variations de l'enthalpie standard de réaction et de l'entropie standard de réaction avec la température sont supposées négligeables.
a) Montrer que la constante d'équilibre de la réaction (II.1) vérifie la loi est la température du milieu exprimée en kelvin.
b) Préciser les valeurs numériques de et .
c) Confronter l'expression de ln au choix des paramètres d'optimisation du processus discuté précédemment.

II.B.3) Choix de la composition du système - Approche théorique

a) Exprimer le taux de conversion en fonction de la pression partielle en dioxygène du milieu , de la constante d'équilibre de la réaction et de la pression standard .
b) Confronter l'expression obtenue au choix des paramètres d'optimisation du processus discuté précédemment.
II.B.4) Pour déterminer s'il est préférable de travailler en présence de dioxygène pur ou d'air, on considère un système à l'équilibre auquel on ajoute une quantité de diazote, tous les autres paramètres étant inchangés. Le système se retrouve alors dans un état hors équilibre caractérisé par un quotient de réaction .
a) Exprimer en fonction de la pression totale , de , des quantités de matière à l'équilibre et de .
b) En déduire le sens d'évolution du système hors équilibre suite à l'ajout de diazote à et fixés. Confronter ce résultat au choix des paramètres d'optimisation du processus discuté précédemment.
c) Dans la pratique, le dioxygène pur n'est jamais utilisé. Proposer une explication.

III Mesure de la biréfringence d'un ruban adhésif

Dans toute cette partie, l'air est assimilé au vide et on note la célérité de la lumière dans le vide.

III.A - Préambule : Mesure d'une différence d'indice optique à l'aide d'un interféromètre de Mach-Zehnder

On dispose de deux lames transparentes à faces parallèles, de même épaisseur (connue avec précision) et d'indices optiques différents :
  • une lame «de référence» , d'indice optique connu;
  • une lame «d'essai» ( ), d'indice optique (avec ).
Afin de mesurer , on place chacune de ces lames dans un des bras d'un interféromètre de Mach-Zehnder (figure 7).
Figure 7 Schéma de principe de l'interféromètre de Mach-Zehnder et placement des lames étudiées.
De façon simple, l'interféromètre de Mach-Zehnder est constituée de deux lames semi-réfléchissantes et de deux miroirs plans (tous ces éléments sont parallèles entre eux). La lame semi-réfléchissante placée en entrée du dispositif est appelée lame séparatrice ; elle permet de diviser le faisceau incident en deux faisceaux secondaires orthogonaux entre eux et de même intensité. Les deux miroirs plans (un dans chaque bras de l'interféromètre) permettent d'orienter les faisceaux secondaires vers la sortie du dispositif. La lame semi-réfléchissante placée en sortie du dispositif, rigoureusement identique à la lame séparatrice, est appelée lame combinatrice car elle permet de superposer les deux faisceaux secondaires en direction de l'écran (ou d'un photodétecteur).
III.A.1) L'interféromètre de Mach-Zehnder est un interféromètre à division d'amplitude. Citer le nom d'un autre interféromètre de ce type et dater approximativement son invention.
III.A.2) Pourquoi n'est-il pas nécessaire d'accoler une lame compensatrice à la lame séparatrice dans ce dispositif?
III.A.3) Le faisceau incident est un faisceau de lumière parallèle. On suppose que les deux lames sont orientées de façon à être éclairées sous incidence normale. Déterminer la différence de marche entre les deux faisceaux en sortie de l'interféromètre.
III.A.4) Dans le cas où le faisceau incident est monochromatique de longueur d'onde , exprimer l'intensité lumineuse obtenue sur l'écran en sortie du dispositif (on se placera dans le cadre du modèle scalaire de la lumière et on notera l'intensité lumineuse obtenue sur l'écran en masquant l'un des deux miroirs). Décrire brièvement ce que l'on observe sur l'écran.
III.A.5) Pour quelle(s) longueur(s) d'onde, l'intensité est-elle maximale ?
III.A.6) Proposer un protocole de mesure de à l'aide de ce dispositif (et de tout le matériel classique d'un laboratoire d'optique).

III.B - Propagation d'une onde polarisée à travers un morceau de Scotch

Le Scotch est un milieu biréfringent, c'est-à-dire que son indice de réfraction n'est pas unique : il dépend de la direction de polarisation de l'onde lumineuse qui le traverse. Pour la suite, on considère un morceau de Scotch assimilé à une lame plane à faces parallèles, orthogonales à l'axe , d'épaisseur . On envoie sur cette lame une onde lumineuse plane, progressive (selon ), monochromatique, polarisée rectilignement, et on admet que:
  • pour une polarisation rectiligne selon , l'onde se propage à la vitesse dans la lame, sans changer de direction de polarisation ;
  • pour une polarisation rectiligne selon , l'onde se propage à la vitesse dans la lame, avec , sans changer de direction de polarisation.
    Les axes et sont appelés lignes neutres de la lame.
    L'origine de l'axe est choisie au niveau de la face d'entrée de la lame. On néglige tout phénomène de réflexion partielle au niveau des faces de la lame.
    III.B.1) En notation complexe, le champ électrique associé à l'onde incidente (dans le domaine ) s'écrit , où est la pulsation de l'onde et un vecteur constant.
    a) Exprimer le vecteur d'onde correspondant à la situation étudiée.
    b) Justifier que les vecteurs et sont nécessairement orthogonaux entre eux.
    III.B.2) On suppose dans cette question que l'onde incidente est polarisée rectilignement selon . Expliciter, en notation complexe, le champ électrique associé à l'onde au niveau de la face de sortie de la lame (en ), puis en un point quelconque du domaine .
    III.B.3) L'onde incidente est désormais polarisée rectilignement selon la première bissectrice des axes et Oy: (avec ).
    a) En admettant que la biréfringence du Scotch est un phénomène linéaire, donner en notation complexe l'expression du champ électrique obtenu dans le domaine .
    b) Après avoir traversé la lame, l'onde est-elle toujours polarisée rectilignement ?
    c) Montrer que, si avec un entier et la longueur d'onde de l'onde dans le vide, l'onde émergente est polarisée rectilignement dans la même direction que l'onde incidente.

III.C - Analyse d'une expérience

Au cours de l'année scolaire , un groupe de quatre élèves d'une classe de terminale a réalisé une expérience de mesure de la biréfringence d'un ruban adhésif. Le principe de cette mesure est décrit dans le document annexe (situé à l'intérieur du document réponse).

III.C.1) Présentation du dispositif

a) Comment peut-on s'assurer expérimentalement qu'un polariseur et un analyseur sont croisés (i.e. orientés selon des directions orthogonales entre elles) ?
b) Comment procéder pour orienter les lignes neutres du ruban adhésif à par rapport aux axes du polariseur et de l'analyseur?

III.C.2) Étalonnage du spectrogoniomètre

a) En admettant que le réseau est éclairé sous incidence normale tout au long de l'expérience et que les relevés effectués correspondent au spectre d'ordre 1, déterminer le pas a du réseau utilisé.
b) En pratique, quelles sont les principales sources d'incertitude sur la valeur de ainsi obtenue ?

III.C.3) Mesure de la biréfringence du Scotch

a) D'après l'étude réalisée dans la sous-partie III.B, à quoi correspondent les « raies d'absorption » observées ?
b) «En observant les spectres de la lumière après l'analyseur pour une ou deux épaisseurs de Scotch , on remarque que les spectres sont continus. On observe à partir de trois épaisseurs une première raie d'absorption. » En déduire une estimation de la valeur maximale de sachant que l'épaisseur d'une couche du ruban adhésif utilisé est .
c) À partir des différents résultats présentés dans le document et de ceux établis précédemment, proposer une autre valeur expérimentale de pour le ruban adhésif étudié. Comparer à celle obtenue par les auteurs du document et commenter.
III.C.4) Le dispositif {polariseur - ruban adhésif - analyseur} est en fait analogue à l'interféromètre de Mach-Zehnder étudié dans la sous-partie III.A.
a) À quoi correspondent les deux bras de l'interféromètre ? Quel élément permet ici de réaliser la division d'amplitude?
b) Justifier la partie en italique dans l'affirmation suivante: «La plaque de verre est orientée de sorte que les lignes neutres du Scotch soient orientées de par rapport aux axes du polariseur et de l'analyseur (car c'est dans cette position que les contrastes sont les plus importants) ».

IV Obtention de graphène par le procédé d'exfoliation «au Scotch »

Le graphène est un cristal bidimensionnel, constitué d'atomes de carbone répartis régulièrement sur un réseau hexagonal en forme de nid d'abeille. En appliquant un simple morceau de Scotch sur un cristal de graphite, les physiciens Konstantin Novoselov et Andre Geim ont réussi, en 2004, à isoler et à observer une unique feuille de graphène. Ils ont reçu le prix Nobel de physique en 2010 pour ces travaux. Le graphène s'est avéré être un matériau fascinant, aux propriétés électroniques exceptionnelles et donne lieu, depuis 2004, à des recherches variées à la fois en physique fondamentale et en physique appliquée.

IV.A - Diagramme de phases du carbone

Le carbone solide existe sous deux variétés allotropiques aux propriétés physico-chimiques très différentes : le diamant (dur, cassant, transparent, isolant) et le graphite (mou, noir, conducteur). On donne sur la figure 8 le diagramme d'état du carbone.
Figure 8 Diagramme de phases du carbone
IV.A.1) Quelle est la forme stable du carbone à sous 1 bar ?
IV.A.2) Sous quelles pressions le graphite peut-il se transformer en diamant ? Où peut-on rencontrer de telles pressions?
IV.A.3) Comment expliquer que des diamants puissent être achetés dans des bijouteries ?

IV.B - Structure cristallographique du diamant

Le diamant cristallise dans une structure cubique telle que les atomes de carbone forment un réseau cubique à faces centrées et occupent un site tétraédrique sur deux en alternance.
IV.B.1) Dessiner la maille du diamant.
IV.B.2) Quelle est la compacité de l'édifice en supposant qu'il y a tangence entre atomes de carbone les plus proches?
IV.B.3) La masse volumique du diamant vaut . En déduire la distance séparant deux atomes de carbone.

IV.C - Structure cristallographique du graphite et comparaison

Le graphite présente une structure en feuillets superposés de type ABAB . Au sein d'un même feuillet, les carbones ont une géométrie trigonale plane avec des angles de et des longueurs de liaison de 141 pm . La maille hexagonale associée à la structure est représentée figure 9 .
Figure 9 À gauche: représentation schématique des feuillets du graphite vus de dessus. À droite : maille hexagonale du graphite
IV.C.1) Déterminer le nombre d'atomes en propre par maille.
IV.C.2) La densité du graphite étant comprise entre 2,09 et 2,23 , en déduire une fourchette pour la distance entre deux feuillets.
IV.C.3) En comparant les différentes distances entre atomes de carbone rencontrées dans cette partie, discuter la nature des liaisons C-C dans le diamant, dans les feuillets du graphite et entre les feuillets du graphite. Commenter.

IV.D - Du graphite au graphène

Le graphène correspond à un unique feuillet d'atomes de carbones constituant le graphite. La figure 10 explique comment obtenir un tel feuillet à partir d'un bloc de graphite (tiré d'une mine de crayon par exemple) et d'un morceau de ruban adhésif.
2 This layer of carbon is thinned further by pressing it on to other layers of tape
3 The tape is finally pressed on to a very smooth substrate such as silicon then peeled off, leaving a graphene layer a single atom thick
Figure 10 Illustration extraite de l'article Faster, stronger, bendier de Clive Cookson, publié dans Financial Times du 28 janvier 2013
IV.D.1) À partir d'arguments qualitatifs uniquement, justifier la faisabilité d'un tel procédé.
IV.D.2) Dans le domaine de la recherche, le graphène est particulièrement étudié pour ses propriétés électroniques exceptionnelles. Comment expliquer simplement les propriétés conductrices du graphène ?

Numéro de place

Numéro dinscription

Nom

Nom
Prénom


Signature
concours centrale•supélec


Épreuve :Physique-chimie ZMP
Ne rien porter sur cette feuille avant d'avoir complètement rempli l'entête
Feville
Figure A Résultats de la simulation numérique pour

Figure B Résultats de la simulation numérique pour

Annexe - Une expérience de mesure de la biréfringence du Scotch

Présentation du dispositif

Afin d'observer le phénomène de biréfringence du Scotch , nous avons réalisé une boîte dans laquelle nous avons glissé deux polariseurs croisés de part et d'autre d'une plaque de verre circulaire pouvant pivoter autour d'un axe horizontal. Sur cette plaque de verre est collé du Scotch avec différentes épaisseurs (voir photo ci-dessous). L'ensemble est éclairé par un faisceau parallèle de lumière blanche.
Figure 1 Notre boîte (la lumière entre par la gauche et sort par la droite).
Nous avons commencé par analyser spectralement la lumière à la sortie de l'analyseur et ce pour une, deux, trois, ..., épaisseurs de Scotch . Pour chaque épaisseur, la plaque de verre est orientée de sorte que les lignes neutres du Scotch soient orientées de par rapport aux axes du polariseur et de l'analyseur (car c'est dans cette position que les contrastes sont les plus importants). Puis nous avons mesuré la différence d'indice entre les deux lignes neutres du Scotch .

Observations des spectres

Pour faire cette étude, nous avons utilisé un spectrogoniomètre. La lumière entre dans le collimateur et se dirige vers la plate-forme sur laquelle on place un réseau (ou un prisme) qui décompose la lumière. Le spectre de cette lumière peut ensuite être observé à l'aide d'une lunette. Avec un tel appareil, on peut, en pointant la lunette sur une raie d'émission ou d'absorption, relever la position de cette dernière.
Figure 2 Schéma du spectrogoniomètre (vue de dessus).
En observant les spectres de la lumière après l'analyseur pour une ou deux épaisseurs de Scotch , on remarque que les spectres sont continus. On observe à partir de trois épaisseurs une première raie d'absorption. Nous avons alors décidé de porter le nombre d'épaisseurs de Scotch à dix afin d'observer plusieurs raies d'absorption.

Étalonnage du spectrogoniomètre

Nous avons tout d'abord mesuré avec la graduation du socle les positions des raies d'émission d'une lampe à vapeur de zinc et d'une lampe à vapeur de mercure. Nous avons ensuite calculé le sinus des angles trouvés à
l'aide du goniomètre pour chaque raie d'émission et y avons associé les longueurs d'onde correspondantes grâce aux tables de valeurs.
Source Valeur de l'angle sur le goniomètre (en ) Sinus de cet angle Longueur d'onde de la raie d'émission (en nm)
Lampe à vapeur de zinc 16,33 0,281 468,0
16,48 0,284 472,0
16,78 0,289 480,0
22,37 0,380 637,0
Lampe à vapeur de mercure 15,23 0,263 435,8
19,12 0,328 546,1
20,23 0,346 576,6
20,28 0,347 579,1
À l'aide d'un logiciel de traitement des données, nous avons tracé la courbe d'étalonnage du sinus des angles en fonction des longueurs d'onde correspondantes. Cette courbe est une droite.

Mesure de la biréfringence du Scotch

Nous avons ensuite repris l'analyse spectrale de la lumière sortant de l'analyseur après avoir traversé dix épaisseurs de Scotch . Nous avons ainsi pu mesurer les valeurs des angles pour les raies d'absorption et avons calculé leur sinus. Grâce à la courbe d'étalonnage nous avons alors déterminé les longueurs d'onde correspondant à ces raies.
Valeur de l'angle sur
le goniomètre
Sinus de cet angle
Longueur d'onde
correspondante (en nm)
15,13 0,261 433,4
17,25 0,297 494,9
20,03 0,343 573,2
24,03 0,407 680,0
Grâce à ces mesures nous avons la possibilité désormais de déterminer la différence des indices dans le Scotch . À l'aide de notre simulation informatique utilisant un logiciel de géométrie dynamique et pour les longueurs d'onde ci-dessus, nous avons recherché la différence d'indice entre l'indice et l'indice pour laquelle il y a absorption de la radiation par le système {polariseur-Scotch -analyseur}. Nous avons considéré l'indice comme égal à 1 , et nous avons joué sur la valeur de l'indice jusqu'à obtenir l'extinction de la lumière. Voilà les valeurs obtenues:
Longueur d'onde (en nm) Indice
433,4 1,0175
494,9 1,0146
573,2 1,01253
680,0 1,01118
Nous avons finalement fait la moyenne de toutes ces valeurs, et nous obtenons:

Données numériques

Divers

  • Constante des gaz parfaits :
  • Constante d'Avogadro:
  • L'air est considéré comme un mélange gazeux dont les fractions molaires sont de et de
  • Masse volumique de l'eau liquide :

Extrait du tableau périodique

Numéro atomique 1 6 8 16 17
Symbole H C O S Cl
Masse molaire atomique 1 12 16 32,1 35,5

Potentiels rédox standard à 298 K

Les espèces non attachées à un couple rédox seront supposées électro-inactives dans les conditions de l'énoncé.
0 0,34 0,96 1,23

Grandeurs thermodynamiques à 298 K

0 0 0 -297 -396
31,8 205 192 248 257
Centrale Physique Chimie 2 MP 2017 - Version Web LaTeX | WikiPrépa | WikiPrépa