J-0
00m
00j
00h
00min
00s

Version interactive avec LaTeX compilé

Centrale Physique Chimie 1 PSI 2020

Notez ce sujet en cliquant sur l'étoile
0.0(0 votes)
Logo centrale
2025_09_04_65d9cf9e277c1c78efadg

Stockage d'énergie par pompage thermique (procédé SEPT)

Certaines questions peu ou pas guidées, demandent de l'initiative de la part du candidat. Leur énoncé est repéré par une barre en marge. Il est alors demandé d'expliciter clairement la démarche, les choix et de les illustrer, le cas échéant, par un schéma. Le barème valorise la prise d'initiative et tient compte du temps nécessaire à la résolution de ces questions.
Dans le contexte actuel, la problématique de la gestion des ressources énergétiques est devenue un enjeu économique majeur. Il est particulièrement important de disposer de moyens de stockage d'énergie qui permettent une meilleure utilisation des sources d'énergie maitrisables comme les centrales thermiques, mais aussi des sources intermittentes comme les éoliennes ou les centrales solaires. Dans ce contexte et devant les défis posés par la protection de l'environnement, les moyens de stockage existants risquent de devenir insuffisants pour intégrer davantage d'énergies intermittentes dans la production électrique. Cette limitation explique un intérêt récent pour les technologies de stockage.
Ce sujet concerne un nouveau procédé de stockage d'énergie à échelle industrielle, le procédé SEPT (Stockage d'Électricité par Pompage Thermique), breveté en 2007. L'énergie est stockée en modifiant, à l'aide d'une machine thermique, la température de deux échangeurs de grande taille appelés regénérateurs. La machine peut fonctionner en pompe à chaleur ou en moteur thermique.

I Analyse thermodynamique du procédé SEPT

La machine est constituée de deux turbomachines, pouvant fonctionner en compresseur ou en turbine et assurant la circulation d'un gaz caloporteur (de l'argon) entre deux enceintes. Les enceintes contiennent un solide divisé (céramique réfractaire, galets de basalte...) qui échange de l'énergie thermique avec le gaz caloporteur. La machine comprend également un convertisseur électromécanique réversible pouvant fonctionner en moteur ou en générateur. On passe de la phase de stockage à celle de déstockage en changeant le sens de circulation du fluide caloporteur (figures 1 et 2 ).
En mode stockage d'énergie (figure 1), le cycle fonctionne en pompe à chaleur, consommant de l'énergie d'origine électrique pour transférer de l'énergie thermique depuis une enceinte basse pression B vers une enceinte haute pression H. Ces enceintes sont des régénérateurs (échangeurs thermiques gaz-solide), au travers desquels passe le gaz caloporteur, entrainé par une paire de turbomachines reliées à un moteur électrique.
Figure 1 Fonctionnement en mode stockage d'énergie

I.A - Schématisation simplifiée du procédé

On schématise le dispositif de façon très simplifiée en considérant que les enceintes basse et haute pression sont des sources de chaleur, de températures respectives et uniformes et constantes, avec . Le cycle des transformations subies par le gaz caloporteur est alors un cycle ditherme.
Q 1. En phase de stockage, la machine fonctionne comme une pompe à chaleur. Définir le coefficient de performance d'une telle machine et déterminer sa valeur maximale, en précisant à quelles conditions cette valeur maximale est atteinte (théorème de Carnot).
Q 2. En phase de déstockage (figure 2), la machine fonctionne comme un moteur thermique. Définir l'efficacité de ce moteur et déterminer sa valeur maximale en précisant dans quelles conditions cette valeur maximale est atteinte.
Figure 2 Fonctionnement en mode production d'énergie
Q 3. Montrer que, dans les conditions de validité du théorème de Carnot, l'énergie stockée peut être intégralement récupérée.
Q 4. Dans un diagramme , représenter les cycles de Carnot pour les phases de stockage et de déstockage.

I.B - Étude de la phase de stockage

On s'intéresse désormais à une modélisation plus réaliste de la machine dans laquelle on tient compte des inhomogénéités de température dans les enceintes. Celles-ci sont tellement grandes que l'on peut considérer que leur température est indépendante du temps.
Le gaz pénètre dans l'enceinte H à la température et en sort à la température . Après décompression dans la turbine, il pénètre dans l'enceinte B à la température et en sort à la température .
Les irréversibilités dues aux turbomachines ont un impact important sur le rendement du stockage. Le gaz neutre utilisé est de l'argon assimilé à un gaz parfait, de coefficient isentropique , de masse molaire et de capacité thermique massique . Il décrit un cycle de Brayton constitué d'une évolution isobare dans chaque enceinte ( B et H ) reliées par deux transformations adiabatiques lorsque le gaz traverse le compresseur et la turbine (figure 3).
Q 5. Reproduire schématiquement le cycle isentropique de la figure 3 en identifiant les éléments traversés par le fluide dans chaque étape du cycle.
On note le travail massique réellement échangé par le fluide avec les parties mobiles du compresseur et is le travail idéal correspondant en supposant la compression isentropique. De même, on note le travail massique réellement échangé par le fluide avec les parties mobiles de la turbine et ce travail idéal dans les conditions isentropiques. On définit le rendement par rapport à l'isentropique du compresseur et de la turbine par
Q 6. Comparer , la température réelle en sortie de compresseur et cette température dans les conditions isentropiques. Justifier.
Figure 3
Q 7. On note et les enthalpies massiques réelles du fluide en entrée et sortie de la turbine et du compresseur et et les enthalpies massiques du fluide en sortie de la turbine et du compresseur en supposant les conditions isentropiques. Montrer que
L'objectif de la suite de cette partie est de montrer la nécessité de deux paires de turbomachines (celles en stockage ne peuvent pas être utilisées en déstockage) et de déterminer le rendement théorique du procédé SEPT.
On note .
Q 8. En utilisant les rendements par rapport à l'isentropique des deux turbomachines lors du stockage, exprimer les températures et en fonction de et .
On définit l'énergie massique mise en jeu lors du stockage par .
Q 9. Justifier cette expression.
Q 10. Exprimer en fonction de et .
Q 11. Calculer la valeur numérique de avec et .

I.C - Positionnement du procédé SEPT par rapport aux autres modes de stockage

Parmi les autres modes de stockage d'énergie, on peut citer l'hydraulique gravitaire, l'air comprimé électriquement (procédé CAES), les batteries, le stockage magnétique d'énergie (procédé SMES) ou encore le stockage d'hydrogène (utilisable par exemple dans les piles à combustibles). La figure 4 positionne ces divers modes de stockage en termes de puissance et de capacité énergétique.
Q 12. Comparer le procédé SEPT aux autres méthodes de stockage d'énergies présentées dans la figure 4.
Q 13. Déterminer un ordre de grandeur du debit massique d'argon dans une installation SEPT typique.
La porosité , dont l'influence sur le stockage sera étudiée ultérieurement, correspond au rapport du volume occupé par le fluide sur le volume total de l'enceinte. Le projet SETHER de l'agence nationale de la recherche prévoit la réalisation d'un prototype d'installation SEPT pour laquelle le volume total des enceintes de 10 mètres de hauteur serait .
Q 14. En prenant pour masse volumique de l'argon et une porosité , déterminer la masse totale d'argon dans cette installation, en négligeant la masse d'argon contenue dans les canalisations qui relient les enceintes entre elles.
Figure 4
Q 15. Déterminer un ordre de grandeur de l'énergie massique que peut stocker une batterie automobile d'une masse de 10 kg et d'une capacité de sous 12 V (figure 5) et comparer à l'énergie massique stockée par une installation SEPT typique. La masse volumique du solide emplissant (incomplètement) les enceintes sera prise égale à .
Figure 5

I.D - Étude de la phase de déstockage

La figure 6 présente les deux cycles de stockage et de déstockage. Les débits massiques d'argon sont supposés identiques lors des deux phases.
En déstockage, le gaz circule dans le sens opposé de celui du stockage, ce qui était une compression de à lors du stockage devient une détente de à .
Q 16. Montrer que
et sont les rendements par rapport à l'isentropique du compresseur et de la turbine pendant la phase de déstockage.
Q 17. Montrer que et que .
Q 18. Dans quels cas aurait-on toujours et ? Cela est-il réaliste ?
Q 19. À chaque cycle de déstockage, la température du gaz à la sortie des enceintes doit augmenter, ce qui échauffe le matériau des enceintes. Proposer une solution pour évacuer l'excédent d'énergie en ramenant la gaz à sa température nominale.
Industriellement, afin de simplifier l'évacuation de l'excédent d'énergie, on impose généralement .
Q 20. Montrer qu'il y a nécessité d'avoir un rapport de pression isentropique en stockage différent de celui en déstockage et donc d'utiliser deux paires de turbomachines (compresseur et turbine) différentes.
Figure 6
Q 21. Exprimer en fonction des rendements et et de . Vérifier le résultat obtenu sur un cas limite.
Q 22. Comparer les rapports de pression au déstockage et au stockage.
Q 23. Par la même méthode qu'à la question 10 , exprimer , énergie massique mise en jeu lors du déstockage. Le rendement théorique du procédé SEPT est défini par .
La température étant limitée par la température maximum que peut supporter la turbomachine pour laquelle le fluide évolue entre et , il est intéressant d'étudier le rendement théorique en fonction de celle-ci. La figure 7 représente les tracés du rendement théorique du procédé SEPT en fonction de pour différentes valeurs de , rendement isentropique supposé égal pour les quatre machines et pour et .
Figure 7
Q 24. À quelles conditions peut-on obtenir un rendement théorique de en supposant que la turbomachine chaude ne peut pas dépasser ?
Q 25. Montrer que le choix des turbomachines nécessite un compromis entre rendement isentropique et résistance aux températures élevées.
Q 26. Le rendement théorique étudié précédemment correspond à la limite supérieure du rendement réel puisqu'il ne prend en compte que les pertes liées aux irréversibilités des turbomachines. Citer d'autres facteurs susceptibles d'expliquer la différence entre le rendement réel et le rendement théorique.

II Analyse de quelques caractéristiques des régénérateurs

Le régénérateur est un dispositif de stockage d'énergie thermique et son fonctionnement comprend deux périodes. Pendant la période «chaude», le gaz chaud circule et se refroidit au contact des parois solides ce qui correspond à un stockage de chaleur. Pendant la période «froide», le gaz froid circule et se réchauffe ce qui permet la récupération de la chaleur stockée.

II.A - Influence de la porosité du milieu

La porosité est le rapport du volume occupé par le fluide sur le volume total de l'enceinte solide. On peut montrer que l'efficacité du stockage thermique augmente avec la porosité du régénérateur jusqu'à une valeur de porosité de l'ordre de qui correspond à un optimum.
On s'intéresse à un régénérateur solide à milieu granulaire que nous modéliserons de manière simplifiée comme un empilement de sphères identiques. On considère deux modes d'empilement : cubique et cubique à faces centrées (figure 8).
Figure 8
Q 27. Exprimer puis calculer la porosité théorique de chaque structure. Pourquoi dit-on que l'empilement cubique à faces centrées est un empilement compact ?
Q 28. Quel mode d'empilement serait le mieux adapté au remplissage d'un régénérateur?
En réalité, lorsque les sphères sont empilées dans l'enceinte sans précautions particulières, il n'apparait aucune périodicité, l'empilement est aléatoire et la porosité est comprise entre 0,36 et 0,40 .

II.B - Influence d'autres paramètres

II.B.1) Fronts thermiques et influence du coefficients d'échange

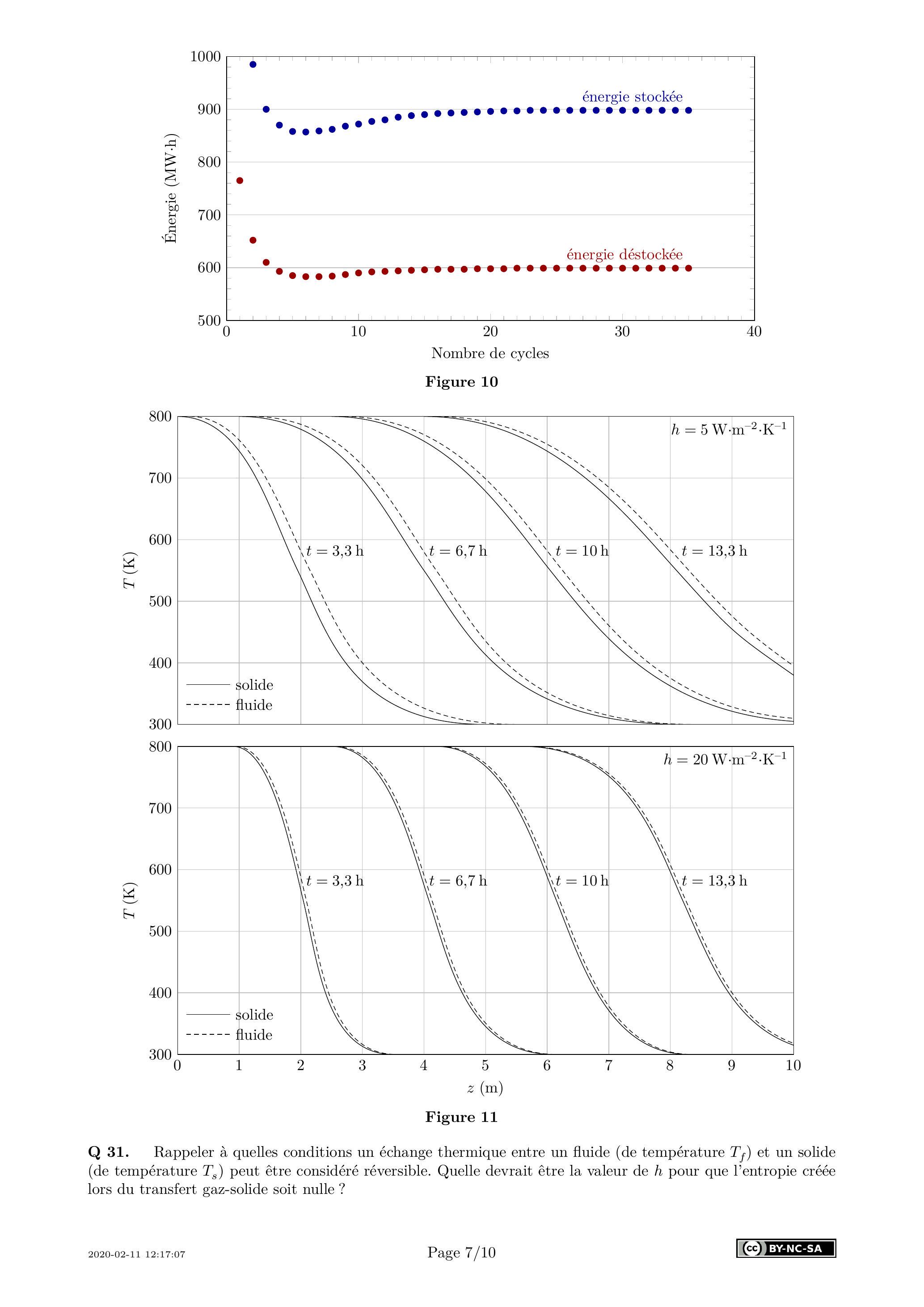
La partie I a étudié le régime établi de l'installation, mais celle-ci a besoin d'un certain nombre de cycles de stockage et de déstockage «transitoires» avant d'atteindre un régime périodique stabilisé (figure 10).
En effet, en mode stockage, l'enceinte H , initialement à la température uniforme , est alimentée en gaz chaud à par le haut et se réchauffe progressivement du haut vers le bas. Une zone de transition existe, se traduisant par une variation progressive de à . Cette zone est appelée «front thermique » (figure 9).
Un modèle développé par T.E.W. Schumann permet d'obtenir les profils de température à l'intérieur de l'enceinte. Les courbes de la figure 11 donnent les températures du fluide et du solide granulaire en fonction de , position verticale dans l'enceinte, à différents instants et pour deux valeurs du coefficient conducto-convectif entre ces deux milieux.
Figure 9
Q 29. D'après les courbes de la figure 11, comment varie la différence de température entre le fluide et le solide avec ? Commenter.
Q 30. Expliquer, à l'aide de la figure 11, qu'un coefficient d'échange plus élevé permet d'arrêter le stockage plus tard et donc de stocker d'avantage d'énergie dans le régénérateur.
Figure 10
Figure 11
Q 31. Rappeler à quelles conditions un échange thermique entre un fluide (de température ) et un solide (de température ) peut être considéré réversible. Quelle devrait être la valeur de pour que l'entropie créée lors du transfert gaz-solide soit nulle ?

II.B.2) Influence de la largeur des enceintes

On considère pour cette question une enceinte ayant la forme d'un parallélépipède rectangle de base carrée, de largeur et de hauteur . La figure 12 présente l'évolution du rendement de l'installation en fonction de la largeur des enceintes.

Figure 12 Rendement avec enceinte parallélépipédique
Q 32. Expliquer l'évolution du rendement en fonction de .

II.B.3) Influence du débit massique de gaz

La figure 13 présente l'évolution du rendement d'une installation SEPT en fonction du débit massique du gaz.
Figure 13 Rendement en fonction du débit du fluide
Q 33. Expliquer l'évolution du rendement avec le débit du gaz.

II.C - Évolution thermique des enceintes pendant les pauses

Une installation SEPT devra quotidiennement stocker et déstocker de l'énergie à des moments de la journée bien précis déterminés par l'évolution journalière du coût de l'énergie électrique (figure 14).
Figure 14 Phases quotidiennes de stockage et déstockage dans une installation SEPT
Entre ces périodes, le système est à l'arrêt pendant quelques heures et on observe une diffusion thermique axiale (selon ) qu'on se propose d'évaluer afin de déterminer s'il est nécessaire de la prendre en compte dans l'efficacité globale du procédé.
On considère l'enceinte de la figure 12 de largeur , pendant une période d'arrêt de durée . Les matériaux réfractaires sont de porosité , de conductivité thermique et affichent un gradient thermique uniforme .
Q 34. Évaluer un ordre de grandeur de l'énergie thermique diffusée axialement et la comparer à l'énergie interne de cette enceinte . Conclure.

II.D - Notions sur les modèles de conductivité effective d'un milieu poreux

L'étude précédente nécessite une connaissance de la conductivité thermique du milieu poreux. La conductivité thermique d'un tel système, dite conductivité thermique effective, intègre logiquement dans sa définition, les paramètres primaires que sont les conductivités thermiques intrinsèques des particules solides et du gaz ( ) ainsi que le rapport volumique entre ces deux phases, représenté par la porosité .
Quel que soit le modèle utilisé pour calculer la conductivité thermique effective d'un milieu granulaire, celle-ci est toujours comprise entre deux valeurs extrêmes, et . Une situation limite correspond à un milieu où le vecteur densité de flux de chaleur est perpendiculaire aux strates (modèle série, figure 15). L'autre situation limite correspond à une disposition des strates parallèle à la direction de la densité du flux de chaleur (modèle parallèle, figure 15).
Figure 15
Q 35. Exprimer les conductivités dans les deux situations limites en fonction de et . Valider les expressions obtenues en considérant des cas limites.
Q 36. Montrer que l'une de ces deux expressions limites est toujours supérieure à l'autre. Déterminer et .
On donne, pour l'argon et pour le sable utilisé et .
Q 37. Calculer les valeurs numériques de et .

II.E - Mesure de la conductivité thermique effective du milieu granulaire utilisé pour les enceintes du procédé S.E.P.T.

On place un fil métallique, de rayon au centre d'un bloc du matériau à étudier (sable et argon) de façon à ce qu'il le traverse verticalement. Le fil est relié à une alimentation électrique qui lui fournit un échelon de courant. On relève au cours du temps la variation de la résistance électrique du fil, ce qui permet de déterminer sa température.
On modélise ce dispositif par un fil de longueur infini plongé dans un espace totalement rempli du matériau à étudier. L'ensemble est initialement à la température uniforme . À partir du temps , on applique l'échelon de courant et le fil produit un flux thermique constant par unité de longueur . On suppose que les transferts thermiques s'effectuent seulement par conduction. Le matériau est incompressible, de masse volumique constante , de conductivité thermique et de capacité thermique massique .
On admet que la répartition de température dans le matériau présente une symétrie cylindrique autour du fil électrique. On se place donc en coordonnées cylindriques ( ) en prenant le fil comme axe, autrement dit, correspond au centre du fil.
Q 38. Établir l'équation différentielle vérifié par , la température du matériau en fonction du temps. On pourra introduire la diffusivité thermique du matériau définie par .
Q 39. À un instant donné, quelle est, en ordre de grandeur, la longueur caractéristique de variation de la température avec ?
La résolution de l'équation précédente nécessite d'exprimer la condition limite sur la surface du fil chaud en .
Q 40. Exprimer en fonction de et .
Compte tenu de cette condition limite et si on néglige le rayon du fil devant la longueur caractéristique de variation de la température avec , la solution de l'équation de la question 38 s'écrit
Pour des valeurs de petites devant 1 , on peut utiliser l'approximation est une constante. Q 41. Donner une expression approchée de aux temps longs en précisant l'échelle de temps pertinente. La figure 16 présente le relevé expérimental de en fonction du temps pour les enceintes d'un procédé SEPT.
Figure 16
Q 42. Montrer que ces mesures sont en accord avec les résultats théoriques précédents.
Q 43. Estimer un ordre de grandeur de la conductivité thermique effective du régénérateur étudié sachant que le fil utilisé a une longueur et qu'il émet un flux thermique total .
Q 44. Commenter le résultat.

Données

Constante d'Avogadro
Constante de Boltzmann
Constante des gaz parfaits
Opérateur laplacien en coordonnées cylindriques
Centrale Physique Chimie 1 PSI 2020 - Version Web LaTeX | WikiPrépa | WikiPrépa