Version interactive avec LaTeX compilé
Centrale Option Informatique MP 2017
Mots synchronisants
Notez ce sujet en cliquant sur l'étoile
0.0(0 votes)
Mots synchronisants
Notations
- Pour tout ensemble fini
, on note son cardinal. - On appelle machine tout triplet (
) où est un ensemble fini non vide dont les éléments sont appelés états, un ensemble fini non vide appelé alphabet dont les éléments sont appelés lettres et une application de dans appelée fonction de transition. Une machine correspond donc à un automate déterministe complet sans notion d'état initial ou d'états finaux. - Pour un état
et une lettre , on note . - L'ensemble des mots (c'est-à-dire des concaténations de lettres) sur l'alphabet
est noté . - Le mot vide est noté
. - On note
le mot obtenu par la concaténation du mot et de la lettre . - On note
l'extension à de la fonction de transition définie par
- Pour un état
de et un mot de , on note encore pour désigner .
Pour deux états
et
est dit accessible depuis
s'il existe un mot
tel que
.
On dit qu'un mot de
est synchronisant pour une machine (
) s'il existe un état
de
tel que pour tout état
de
.
L'existence de tels mots dans certaines machines est utile car elle permet de ramener une machine dans un état particulier connu en lisant un mot donné (donc en pratique de la « réinitialiser » par une succession précise d'ordres passés à la machine réelle).
La partie I de ce problème étudie quelques considérations générales sur les mots synchronisants, la partie II est consacrée à des problèmes algorithmiques classiques, la partie III relie le problème de la satisfiabilité d'une formule logique à celui de la recherche d'un mot synchronisant de longueur donnée dans une certaine machine et enfin la partie IV s'intéresse à l'étude de l'existence d'un mot synchronisant pour une machine donnée. Les parties I, II et III peuvent être traitées indépendamment. La partie IV, plus technique, utilise la partie II.
Dans les exemples concrets de machines donnés plus loin, l'ensemble d'états peut être quelconque, de même que l'alphabet ( ). Par contre, pour la modélisation en Caml, l'alphabet
sera toujours considéré comme étant un intervalle d'entiers
où
. Une lettre correspondra donc à un entier entre 0 et
. Un mot de
sera représenté par une liste de lettres (donc d'entiers).
On dit qu'un mot
L'existence de tels mots dans certaines machines est utile car elle permet de ramener une machine dans un état particulier connu en lisant un mot donné (donc en pratique de la « réinitialiser » par une succession précise d'ordres passés à la machine réelle).
La partie I de ce problème étudie quelques considérations générales sur les mots synchronisants, la partie II est consacrée à des problèmes algorithmiques classiques, la partie III relie le problème de la satisfiabilité d'une formule logique à celui de la recherche d'un mot synchronisant de longueur donnée dans une certaine machine et enfin la partie IV s'intéresse à l'étude de l'existence d'un mot synchronisant pour une machine donnée. Les parties I, II et III peuvent être traitées indépendamment. La partie IV, plus technique, utilise la partie II.
Dans les exemples concrets de machines donnés plus loin, l'ensemble d'états peut être quelconque, de même que l'alphabet (
type lettre == int;;
type mot == lettre list;;
De même, en Caml, l'ensemble d'états
d'une machine sera toujours considéré comme étant l'intervalle d'entiers
où
.
type etat == int;;
Ainsi, la fonction de transition
d'une machine sera modélisée par une fonction Caml de signature etat
lettre
etat. On introduit alors le type machine
type machine = { n_etats : int ; n_lettres : int ; delta : etat -> lettre -> etat} ; ;
n_etats correspond au cardinal de
, n_lettres à celui de
et delta à la fonction de transition. Pour une machine nommée M , les syntaxes M.n_etats, M.n_lettres ou M.delta permettent d'accéder à ses différents paramètres. Dans le problème, on suppose que M. delta s'exécute toujours en temps constant.
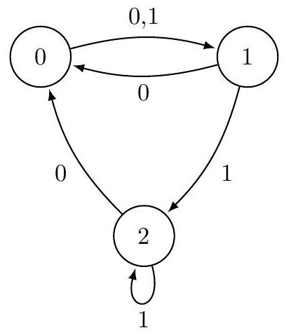
Par exemple, on peut créer une machine MO à trois états sur un alphabet à deux lettres ayant comme fonction de transition la fonction donnée ci-après.
Par exemple, on peut créer une machine MO à trois états sur un alphabet à deux lettres ayant comme fonction de transition la fonction
let fO etat lettre = match etat,lettre with
| 0,0 -> 1
| 0,1 -> 1
| 1,0 -> 0
| 1,1 -> 2
| 2,0 -> 0
| 2,1 -> 2;;
fO : int -> int -> int = <fun>
let MO = { n_etats = 3 ; n_lettres = 2 ; delta = f0 };;
La figure 1 fournit une représentation de la machine
.

Figure 1 La machine
On pourra observer que les mots 11 et 10 sont tous les deux synchronisants pour la machine
.
Dans tout le sujet, si une question demande la complexité d'un programme ou d'un algorithme, on attend une complexité temporelle exprimée en .
Dans tout le sujet, si une question demande la complexité d'un programme ou d'un algorithme, on attend une complexité temporelle exprimée en
I Considérations générales
I.
- Que dire de l'ensemble des mots synchronisants pour une machine ayant un seul état ?
Dans toute la suite du problème, on supposera que les machines ont au moins deux états.
- On considère la machine
représentée figure 2. Donner un mot synchronisant pour
s'il en existe un. Justifier la réponse.

Figure 2 La machine
I.E - Écrire une fonction est_synchronisant de signature machine
I.F - Montrer que pour qu'une machine ait un mot synchronisant, il faut qu'il existe une lettre
I.
I.G.1) Justifier que l'existence d'un mot synchronisant pour
se ramène à un problème d'accessibilité de certain(s) états(s) depuis certain(s) état(s) dans la machine des parties.
I.G.2) En déduire que le langage des mots synchronisants de la machine
est reconnaissable.
I.G.2) En déduire que le langage

Figure
: une machine à 4 états
I.G.3) Déterminer la machine des parties associée à la machine
puis donner une expression régulière du langage
.
I.H - Montrer que si l'on sait résoudre le problème de l'existence d'un mot synchronisant, on sait dire, pour une machine et un état
de
choisi, s'il existe un mot
tel que pour tout état
de
, le chemin menant de
à
passe forcément par
.
I.H - Montrer que si l'on sait résoudre le problème de l'existence d'un mot synchronisant, on sait dire, pour une machine
II Algorithmes classiques
On appellera graphe d'automate tout couple (
) où
est un ensemble dont les éléments sont appelés sommets et
une partie de
dont les éléments sont appelés arcs. Pour un arc (
),
est l'étiquette de l'arc,
son origine et
son extrémité. Un graphe d'automate correspond donc à un automate non déterministe sans notion d'état initial ou d'état final.
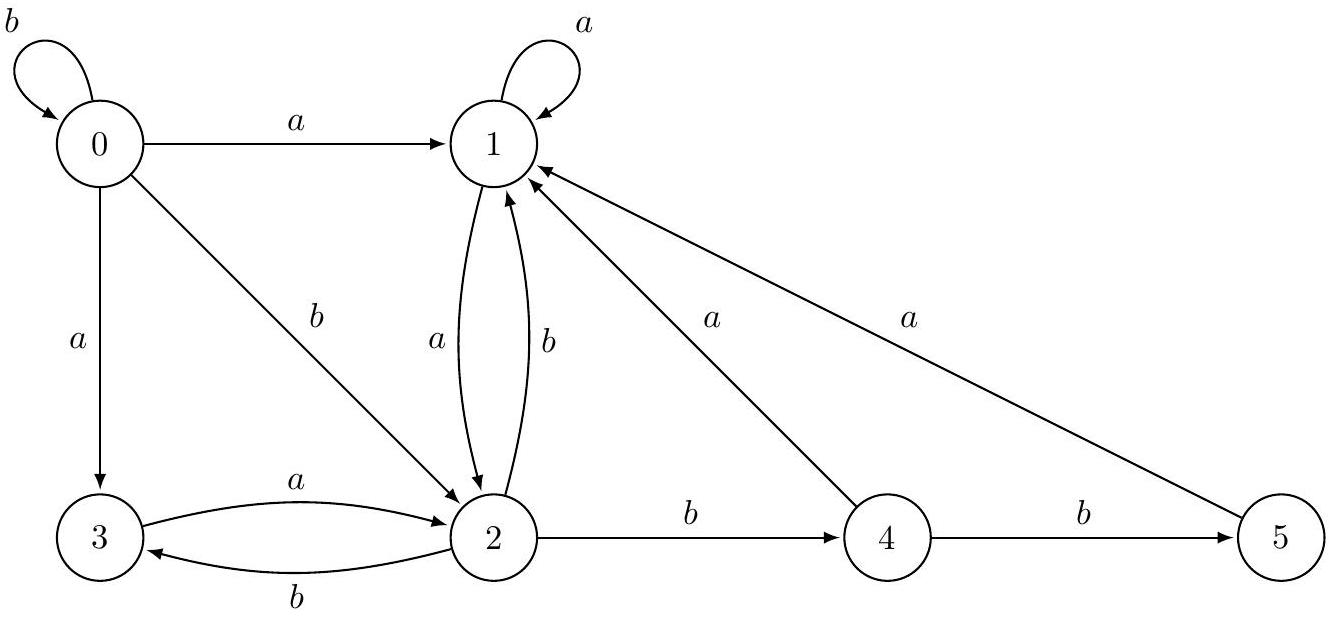
Par exemple, avec
Par exemple, avec
le graphe d'automate
est représenté figure 4 .
Soient et
deux sommets d'un graphe (
). On appelle chemin de
vers
de longueur
toute suite d'arcs
de
telle que
et pour tout
de
. L'étiquette de ce chemin est alors le mot
et on dit que
est accessible depuis
. En particulier, pour tout
est accessible depuis
par le chemin vide d'étiquette
.
Soient

Figure 4 Le graphe d'automate
Dans les programmes à écrire, un graphe aura toujours pour ensemble de sommets un intervalle d'entiers
et l'ensemble des arcs étiquetés par
(comme précédemment supposé être un intervalle
) sera codé par un vecteur de listes d'adjacence
pour tout
est la liste (dans n'importe quel ordre) de tous les couples
tel que
soit un arc du graphe. Pour des raisons de compatibilité ultérieure, les sommets (qui sont, rappelons-le, des entiers) seront codés par le type etat.
Ainsi, avec l'alphabet , la lettre
est codée 0 et la lettre
est codée 1 ; l'ensemble des arcs du graphe
, dont chaque sommet est codé par son numéro, admet pour représentation Caml :
Ainsi, avec l'alphabet
V0 : (etat * lettre) list vect = [|
[(0,1) ; (3,0) ; (2,1) ; (1,0)] ;
[(1,0) ; (2,0)] ;
[(1,1); (3,1); (4,1)];
[(2,0)] ;
[(1,0) ; (5,1)] ;
[(1,0)]
|]
II.A - On veut implémenter une file d'attente à l'aide d'un vecteur circulaire. On définit pour cela un type particulier nommé file par
type 'a file={tab:'a vect; mutable deb: int; mutable fin: int; mutable vide: bool}
deb indique l'indice du premier élément dans la file et fin l'indice qui suit celui du dernier élément de la file, vide indiquant si la file est vide. Les éléments sont rangés depuis la case deb jusqu'à la case précédent fin en repartant à la case 0 quand on arrive au bout du vecteur (cf exemple). Ainsi, on peut très bien avoir l'indice fin plus petit que l'indice deb. Par exemple, la file figure 5 contient les éléments et 8 , dans cet ordre, avec
et deb
.
type 'a file={tab:'a vect; mutable deb: int; mutable fin: int; mutable vide: bool}
deb indique l'indice du premier élément dans la file et fin l'indice qui suit celui du dernier élément de la file, vide indiquant si la file est vide. Les éléments sont rangés depuis la case deb jusqu'à la case précédent fin en repartant à la case 0 quand on arrive au bout du vecteur (cf exemple). Ainsi, on peut très bien avoir l'indice fin plus petit que l'indice deb. Par exemple, la file figure 5 contient les éléments

Figure 5 Un exemple de file où fin < deb
On rappelle qu'un champ mutable peut voir sa valeur modifiée. Par exemple, la syntaxe f .deb <- 0 affecte la valeur 0 au champ deb de la file
.
II.A.1) Écrire une fonction ajoute de signature 'a file '
unit telle que ajoute
ajoute
à la fin de la file d'attente
. Si c'est impossible, la fonction devra renvoyer un message d'erreur, en utilisant l'instruction failwith "File pleine".
II.A.2) Écrire une fonction retire de signature 'a file 'a telle que retire
retire l'élément en tête de la file d'attente et le renvoie. Si c'est impossible, la fonction devra renvoyer un message d'erreur.
II.A.3) Quelle est la complexité de ces fonctions ?
II.A.1) Écrire une fonction ajoute de signature 'a file
II.A.2) Écrire une fonction retire de signature 'a file
II.A.3) Quelle est la complexité de ces fonctions ?
On considère l'algorithme 1 s'appliquant à un graphe d'automate
et à un ensemble de sommets
(on note
et
, vide et rien des valeurs particulières).
II.B - Justifier que l'algorithme 1 termine toujours.
II. - Donner la complexité de cet algorithme en fonction de
et
. On justifiera sa réponse.
II.D - Justifier qu'au début de chaque passage dans la boucle «tant que n'est pas vide», si
contient dans l'ordre les sommets
, alors
et
.
II.E - Pour sommet de
, on note
la distance de
à
c'est-à-dire la longueur d'un plus court chemin d'un sommet de
à
(avec la convention
s'il n'existe pas de tel chemin).
II.E.1) Justifier brièvement qu'à la fin de l'algorithme, pour tout sommet si et seulement si
est accessible depuis un sommet de
et que
. Que désigne alors
?
II.E.2) Montrer qu'en fait, à la fin, on a pour tout sommet . Que vaut alors
?
II.F - Écrire une fonction accessibles de signature
II.B - Justifier que l'algorithme 1 termine toujours.
II.
II.D - Justifier qu'au début de chaque passage dans la boucle «tant que
II.E - Pour
II.E.1) Justifier brièvement qu'à la fin de l'algorithme, pour tout sommet
II.E.2) Montrer qu'en fait, à la fin, on a pour tout sommet
II.F - Écrire une fonction accessibles de signature
((etat*lettre) list) vect -> etat list -> int * int vect * (etat*lettre) vect
prenant en entrée un graphe d'automate (sous la forme de son vecteur de listes d'adjacence V) et un ensemble E de sommets (sous la forme d'une liste d'états) et qui renvoie le triplet (
) calculé selon l'algorithme précédent. Les constantes
, vide et rien seront respectivement codées dans la fonction accessibles par -1 ,
et
.
créer une file d'attente $F$, vide au départ
créer un tableau $D$ dont les cases sont indexées par $S$ et initialisées à $\infty$
créer un tableau $P$ dont les cases sont indexées par $S$ et initialisées à vide
créer une variable $c$ initialisée à $n$
pour tout $s \in E$ faire
insérer $s$ à la fin de la file d'attente $F$
fixer $D[s]$ à 0
fixer $P[s]$ à rien
diminuer $c$ de 1
fin pour
tant que $F$ n'est pas vide faire
extraire le sommet $s$ qui est en tête de $F$
pour tout arc $\left(s, y, s^{\prime}\right) \in A$ tel que $D\left[s^{\prime}\right]=\infty$ faire
fixer $D\left[s^{\prime}\right]$ à $D[s]+1$
fixer $P\left[s^{\prime}\right]$ à $(s, y)$
insérer $s^{\prime}$ à la fin de la file d'attente $F$
diminuer $c$ de 1
fin pour
fin tant que
renvoyer ( $c, D, P$ )
Algorithme 1
II.G - Écrire une fonction chemin de signature etat
(etat*lettre) vect
mot qui, prenant en entrée un sommet s et le vecteur P calculé à l'aide de la fonction accessibles sur un graphe
et un ensemble
, renvoie un mot de longueur minimale qui est l'étiquette d'un chemin d'un sommet de
à
(ou un message d'erreur s'il n'en existe pas).
III Réduction SAT
On s'intéresse dans cette partie à la satisfiabilité d'une formule logique portant sur des variables propositionnelles
. On note classiquement
le connecteur logique « et »,
le connecteur «ou» et
la négation d'une formule
.
On appelle littéral une formule constituée d'une variable ou de sa négation
, on appelle clause une disjonction de littéraux.
Considérons une formule logique sous forme normale conjonctive c'est-à-dire sous la forme d'une conjonction de clauses. Par exemple,
On appelle littéral une formule constituée d'une variable
Considérons une formule logique sous forme normale conjonctive c'est-à-dire sous la forme d'une conjonction de clauses. Par exemple,
est une formule sous forme normale conjonctive formée de trois clauses et portant sur quatre variables propositionnelles
et
.
Soit une formule sous forme normale conjonctive, composée de
clauses et faisant intervenir
variables. On suppose les clauses numérotées
. On veut ramener le problème de la satisfiabilité d'une telle formule au problème de la recherche d'un mot synchronisant de longueur inférieure ou égale à
sur une certaine machine. On introduit pour cela la machine suivante associée à
:
Soit
-
est formé de états, un état particulier noté et autres états qu'on notera avec
; -
est défini par -
est un état puits, c'est-à-dire , - pour tout entier
de , - pour tout
dans et dans ,
III.
- Représenter la machine associée à la formule
.
III. - Donner une distribution de vérité
(la valeur
étant associée à la variable
) satisfaisant
. Le mot
est-il synchronisant?
III. - Montrer que tout mot
de longueur
est synchronisant. À quelle condition sur les
un mot
de longueur
est-il synchronisant ?
III. - Montrer que si la formule
est satisfiable, toute distribution de vérité la satisfaisant donne un mot synchronisant de longueur
pour l'automate.
III. - Inversement, prouver que si l'automate dispose d'un mot synchronisant de longueur inférieure ou égale à
est satisfiable. Donner alors une distribution de vérité convenable.
III.
III.
III.
III.
IV Existence
On reprend dans cette partie le problème de l'existence d'un mot synchronisant pour une machine
.
IV.A - Soit une machine.
IV.A - Soit
Pour toute partie
de
et tout mot
de
, on note
.
IV.A.1) Soit un mot synchronisant de
et
une suite de préfixes de
rangés dans l'ordre croissant de leur longueur et telle que
. Que peut-on dire de la suite des cardinaux
?
IV.A.2) Montrer qu'il existe un mot synchronisant si et seulement s'il existe pour tout couple d'états ( ) de
un mot
tel que
.
On veut se servir du critère établi ci-dessus pour déterminer s'il existe un mot synchronisant. Pour cela, on associe à la machine la machine
définie par :
IV.A.1) Soit
IV.A.2) Montrer qu'il existe un mot synchronisant si et seulement s'il existe pour tout couple d'états (
On veut se servir du critère établi ci-dessus pour déterminer s'il existe un mot synchronisant. Pour cela, on associe à la machine
-
est formé des parties à un ou deux éléments de ; -
est définie par .
Si , que vaut ?
IV.C - On a dit que pour la modélisation informatique, l'ensemble d'états d'une machine doit être modélisée par un intervalle. doit donc être modélisé par l'intervalle . Soit une bijection de sur . On suppose qu'on dispose d'une fonction set_to_nb de signature int (etat list) -> etat telle que set_to_nb pour élément de et liste d'états renvoie
On suppose qu'on dispose aussi d'une fonction réciproque nb_to_set de signature int
etat
(etat list) telle que nb_to_set
pour
élément de
et
élément de
renvoie une liste d'états de la forme
ou
(avec
) correspondant à
. Ces deux fonctions de conversion sont supposées agir en temps constant.
Enfin, pour ne pas confondre un état de avec sa représentation informatique par un entier, on notera
l'entier associé à l'état
.
Écrire une fonction delta2 de signature machine etat
lettre
etat qui prenant en entrée une machine
, un état
de
et une lettre
, renvoie l'état de
atteint en lisant la lettre
depuis l'état
dans
.
IV.D - Il est clair qu'à la machine , on peut associer un graphe d'automate
dont l'ensemble des sommets est
et dont l'ensemble des arcs est
. On associe alors à
le graphe retourné
qui a les mêmes sommets que
mais dont les arcs sont retournés (i.e (
) est un arc de
si et seulement si
est un arc de
.
Écrire une fonction retourne_machine de signature machine ((etat*lettre) list) vect qui à partir d'une machine
, calcule le vecteur
des listes d'adjacence du graphe
.
IV.E - Justifier qu'il suffit d'appliquer la fonction accessibles de la partie II au graphe et à l'ensemble des sommets de
correspondant à des singletons pour déterminer si la machine
possède un mot synchronisant.
IV.F - Écrire une fonction existe_synchronisant de signature machine bool qui dit si une machine possède un mot synchronisant.
Enfin, pour ne pas confondre un état de
Écrire une fonction delta2 de signature machine
IV.D - Il est clair qu'à la machine
Écrire une fonction retourne_machine de signature machine
IV.E - Justifier qu'il suffit d'appliquer la fonction accessibles de la partie II au graphe
IV.F - Écrire une fonction existe_synchronisant de signature machine
Jan Černý, chercheur slovaque, a conjecturé au milieu des années 60 que si une machine à n états possédait un mot synchronisant, elle en avait un de longueur inférieure ou égale
. La construction faite dans la partie III affirme que la recherche, dans une machine, d'un mot synchronisant de longueur inférieure ou égale à une valeur
fixée est au moins aussi difficile en terme de complexité que celui de la satisfiabilité d'une formule logique à m variables sous forme normale conjonctive (qu'on sait être un problème «difficile»).
