Version interactive avec LaTeX compilé
EPREUVE SPECIFIQUE - FILIERE MP
PHYSIQUE 2
Durée : 4 heures
Les calculatrices sont autorisées.
NB : Le candidat attachera la plus grande importance à la clarté, à la précision et à la concision de la rédaction.
Si un candidat est amené à repérer ce qui peut lui sembler être une erreur d'énoncé, il le signalera sur sa copie et devra poursuivre sa composition en expliquant les raisons des initiatives qu'il a été amené à prendre.
Si un candidat est amené à repérer ce qui peut lui sembler être une erreur d'énoncé, il le signalera sur sa copie et devra poursuivre sa composition en expliquant les raisons des initiatives qu'il a été amené à prendre.
Conformément à l'usage international, les vecteurs sont représentés en gras.
- PARTIE A -
1. Modèle de Thomson de l'atome d'hydrogène
On donne:
.
1.1 Dans un modèle classique de l'atome d'hydrogène, dû à J.J. Thomson (1895), le noyau positif de charge totale est modélisé par une sphère uniformément chargée de rayon
.
1.1 Dans un modèle classique de l'atome d'hydrogène, dû à J.J. Thomson (1895), le noyau positif de charge totale
- Quelle est la densité volumique de charge correspondante (expression littérale et valeur numérique) ?
- Expliciter en tout point de l'espace le champ
électrostatique créé par cette distribution de charge.
1.2 Un électron de masseet de charge , supposé ponctuel, est placé au centre de cette distribution. - Montrer que, si l'on écarte l'électron de cette position d'une quantité
, il est soumis à une force de rappel que l'on explicitera. - Quelle est l'intensité de cette force pour
? - Quel sera le mouvement ultérieur de l'électron s'il est lâché, sans vitesse initiale, à partir d'un point caractérisé, dans un repère cartésien centré sur le noyau, par
, ?
1.3 On superpose au champ créé par le noyau, un champ uniforme. - Montrer que, si ce champ est suffisamment faible, l'électron prend une nouvelle position d'équilibre
tout en restant lié au noyau. - Pour quelle valeur numérique maximum de
cette position existe-t-elle? - Quel est, dans cette position, le moment dipolaire
de la distribution de charge ? Ce moment dépend-t-il du choix de l'origine des coordonnées que nous avons fait? - On pose
où est la polarisabilité électronique. Quelle est la dimension physique de ? A quelle caractéristique physique de l'atome peut-on la comparer? Quelle est sa valeur numérique pour le modèle de Thomson?
1.4 Le champ appliqué est maintenant variable dans le temps avec une pulsation. - En négligeant tout autre effet éventuel et en supposant que le champ
est d'amplitude suffisamment faible (inférieure à la valeur trouvée en 1.3.2), écrire l'équation du mouvement de l'électron sous l'action combinée des champs et . - Donner sa solution en régime sinusoïdal permanent.
- En déduire l'expression de la polarisabilité en fonction de la pulsation
. - Représenter sommairement le graphe de la fonction
.
2. Etude du champ électrique dans un plasma
Un plasma est constitué de deux types de particules chargées. On notera respectivement
et
la densité particulaire des charges positives et négatives. Dans le cadre d'une modélisation analogue à celle du modèle de Thomson, la distribution de charges positives est supposée uniforme dans l'espace. Les charges négatives (électrons) sont libres de se déplacer. A l'équilibre, la charge volumique
, le champ et le potentiel sont nuls en tout point. On suppose désormais que le déplacement des charges négatives se fait uniquement suivant la direction
et que les charges positives sont fixes dans le référentiel d'étude.

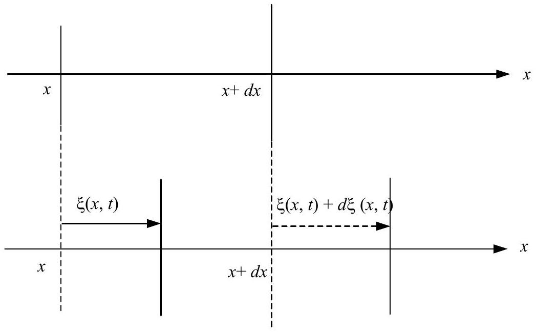
Figure 1
2.1 Sous l'effet d'une perturbation, les électrons contenus initialement dans une tranche cylindrique de base
dans le plan d'abscisse
et d'épaisseur
se retrouvent dans une tranche de base
dans le plan d'abscisse
et d'épaisseur
avec
(voir figure 1). On suppose que le milieu non perturbé est localement neutre.
- En écrivant la conservation du nombre des électrons contenus initialement dans la tranche cylindrique de base
et d'épaisseur , établir l'expression de la variation de la densité particulaire d'électrons en fonction de et de . - Exprimer la charge volumique
et le moment dipolaire volumique résultant de ce déplacement en fonction de et . - En utilisant l'équation de Maxwell Gauss, donner l'expression en fonction de
et du champ électrique créé dans le plasma par cette distribution de charge. - Quelle est alors la relation entre le champ
créé par la matière polarisée et le moment dipolaire volumique ? - Ecrire l'équation du mouvement pour un électron soumis à ce seul champ et dont le déplacement par rapport à l'équilibre est
. - Montrer que le plasma peut être le siège d'oscillations spontanées de la charge volumique électronique et expliciter leur pulsation
en fonction des constantes et et de la densité électronique . - Quelle est la valeur de
pour ?
2.2 Le plasma est soumis à un champ appliquévariant dans le temps avec une pulsation . - Ecrire l'équation du mouvement d'un électron sous l'action combinée du champ appliqué et du champ
créé par le plasma polarisé. - Etablir la relation entre le moment dipolaire volumique
et le champ appliqué en fonction de et . - En déduire la relation entre le moment dipolaire volumique
et le champ local en fonction de et . On posera , et on explicitera .
3. Onde électromagnétique dans un plasma
La perturbation évoquée ci-dessus est une onde électromagnétique plane polarisée rectilignement selon
de pulsation
dont le champ électrique s'écrit
. La vitesse des particules chargées restant faible par rapport à celle de la lumière, on néglige dans la suite l'effet du champ magnétique sur leur mouvement. On néglige également toute dissipation d'énergie. Dans ces conditions, la propagation d'une onde de pulsation
obéit à l'équation de
d'Alembert où l'on a simplement remplacé la permittivité du vide par la valeur
.
d'Alembert où l'on a simplement remplacé la permittivité du vide
- Ecrire l'équation de d'Alembert pour une onde plane polarisée du type donné et en déduire la relation de dispersion
. - Expliciter pour une telle onde, les vitesses de phase et de groupe.
- Montrer que ne peuvent se propager que des ondes dont la fréquence est supérieure à une certaine valeur
que l'on explicitera. - A.N. Le plasma ionosphérique correspond à une densité électronique
. Calculer la fréquence de coupure en dessous de laquelle les ondes ne peuvent le traverser. Dans quel domaine du spectre électromagnétique se situe cette fréquence ? - En tenant compte du modèle proposé, expliquer ce que deviennent les ondes qui ne peuvent se propager dans ce plasma.
- PARTIE B -
Etude d'un étireur à réseaux
Dans le domaine de l'optique ultra-rapide, l'amplification des impulsions lumineuses se heurte à une difficulté majeure. En effet, lors de l'amplification, l'intensité crête, inversement proportionnelle à la durée des impulsions, peut prendre des valeurs bien supérieures au seuil de dommage du milieu amplificateur. Pour éviter cela, on utilise des dispositifs optiques permettant d'étirer temporellement l'impulsion avant amplification, et de la «re-comprimer» après amplification.
Dans ce problème on se propose d'étudier le principe d'un étireur d'impulsions constitué par l'association de deux réseaux à réflexion. Dans la première partie on étudiera les propriétés dispersives d'un seul réseau puis dans la deuxième partie, on étudiera celles résultant de l'association de deux réseaux identiques parallèles entre eux. Enfin, on étudiera dans la troisième partie le changement du profil temporel d'une impulsion de lumière se propageant dans ce dispositif optique.
Dans ce problème on se propose d'étudier le principe d'un étireur d'impulsions constitué par l'association de deux réseaux à réflexion. Dans la première partie on étudiera les propriétés dispersives d'un seul réseau puis dans la deuxième partie, on étudiera celles résultant de l'association de deux réseaux identiques parallèles entre eux. Enfin, on étudiera dans la troisième partie le changement du profil temporel d'une impulsion de lumière se propageant dans ce dispositif optique.
1. Réseau à échelettes
On considère le réseau en réflexion dit à échelettes représenté dans la figure 1-a, constitué d'une succession de facettes réfléchissantes (largeur
) inclinées d'un angle
par rapport au plan du réseau. Une onde plane monochromatique (longueur d'onde
) éclaire le réseau sous un angle
par rapport à la normale et on observe l'onde diffractée à l'infini dans la direction qui fait un angle
avec
. Les angles d'incidence et de diffraction par rapport à la normale de la facette sont respectivement
et
.
par rapport à la normale

Figure 1-a
1.1. Diffraction par une facette
a. Exprimer la différence de phase entre les ondes véhiculées par deux rayons incidents dont l'un tombe sur une extrémité de l'arête de la facette en fonction de
,
et de la distance
(figure 1-b).
b. En déduire l'expression de l'amplitude diffractée par une facette dans la direction .
c. Dans quelle direction de l'espace se situe le centre de la figure de diffraction ?
b. En déduire l'expression de l'amplitude diffractée par une facette dans la direction
c. Dans quelle direction de l'espace se situe le centre de la figure de diffraction ?

Figure 1-b
1.2. Diffraction par le réseau
a. Exprimer la différence de phase entre les ondes véhiculées par deux rayons homologues incidents tombant sur deux facettes consécutives, séparés d'une distance
et des angles
et
(figure 1-c).
b. En déduire la position des maxima principaux en fonction de
et d'un nombre entier
.
c. On veut faire coïncider pour une longueur d'onde l'ordre +1 du réseau avec le maximum de la courbe de diffraction d'une facette. Calculer la distance
entre les facettes qui permette de réaliser cette condition. Application numérique:
,
.
b. En déduire la position des maxima principaux
c. On veut faire coïncider pour une longueur d'onde

Figure 1-c
On suppose par la suite que la condition du 1.2.c est réalisée et que le réseau (avec
) se comporte comme un miroir, réfléchissant l'onde incidente dans la direction
donnée par
pour des longueurs d'ondes
proches de
et où
est la vitesse de la lumière (
). On néglige ainsi l'énergie répartie sur les autres maximums. On supposera aussi que la largeur du pic principal est négligeable.
2. Combinaison de deux réseaux à échelettes
On considère maintenant deux réseaux à échelettes (mêmes paramètres
et
) parallèles entre eux disposés comme le montre la figure (2). La distance
entre les réseaux est supposée être grande de sorte que l'on se trouve dans les conditions de diffraction à l'infini quand l'onde lumineuse irradie le réseau 2 . On envoie une onde plane véhiculée par le rayon incident faisant un angle
avec la normale au réseau 1 . L'onde à l'entrée du réseau 1 est une impulsion lumineuse qui s'écrit sous la forme où
est une constante et
est la pulsation centrale. On définit les relations de passage entre une fonction complexe
et sa transformée de Fourier
:
avec la normale au réseau 1 . L'onde à l'entrée du réseau 1 est une impulsion lumineuse qui s'écrit sous la forme
On donne la relation
On convient de définir la «largeur» d'une courbe comme la demi-largeur à

Figure 2
2.1. a. Donner la signification de
.
b. Calculer la transformée de Fourier de l'impulsion.
c. En déduire sa «largeur».
2.2. a. Dans quelle direction, mesurée par rapport au rayon incident sur le réseau 1 , est diffracté le rayon lumineux associé à après le deuxième réseau?
b. Dessiner le trajet d'un rayon correspondant à une composante spectrale quelconque proche de
.
c. Conclure sur les directions des rayons diffractés par le deuxième réseau.
2.3. a. Pour une composante spectrale , trouver la relation
donnant le point d'impact du rayon lumineux sur le plan d'observation
perpendiculaire au trajet du rayon associé à
. On prendra l'origine
pour
.
b. A partir de la relation , trouver la relation entre
et
sachant que
est proche de
.
c. En déduire la relation caractérisant l'étalement spatial du spectre de l'impulsion le long du plan
. On rappelle que
et
sont proches de
et
respectivement, et qu'un développement limité peut donc être effectué.
d. En ne tenant compte que de la dispersion spatiale déterminée précédemment, déterminer le profil spatial de l'intensité lumineuse au niveau de ce plan .
e. Application numérique : Calculer en degré puis la «largeur» de la courbe de l'intensité diffractée dans le plan
pour
, et
.
b. Calculer la transformée de Fourier
c. En déduire sa «largeur».
2.2. a. Dans quelle direction, mesurée par rapport au rayon incident sur le réseau 1 , est diffracté le rayon lumineux associé à
b. Dessiner le trajet d'un rayon correspondant à une composante spectrale
c. Conclure sur les directions des rayons diffractés par le deuxième réseau.
2.3. a. Pour une composante spectrale
b. A partir de la relation
c. En déduire la relation
d. En ne tenant compte que de la dispersion spatiale déterminée précédemment, déterminer le profil spatial de l'intensité lumineuse au niveau de ce plan
e. Application numérique : Calculer
3. Etirement temporel d'impulsions lumineuses
La différence de phase totale
accumulée jusqu'au plan
entre deux rayons associés à
et
s'exprime à partir d'un développement limité à l'ordre 2 comme
où
et
.
3.1. En comparant à l'unité le terme de second ordre, pour quelles durées la correction d'ordre deux est-elle nécessaire? On prendra
.
3.2 Le coefficient peut être calculé en utilisant le fait que le déphasage quadratique au niveau du plan
est le même que le déphasage dans le plan
(figure 2) et est dû uniquement à la diffraction par le réseau 1 .
a. Calculer la phase accumulée par un rayon associé à à partir du point d'impact
et diffracté dans le plan (
) en fonction de la distance
et
.
b. En déduire le coefficient en fonction de
et l'angle de diffraction
. Application numérique.
3.3 a. En tenant compte du déphasage , reconstituer le profil temporel du champ électrique de l'impulsion lumineuse au niveau du plan
.
b. En déduire le module du champ.
c. Quelle est la signification du coefficient ?
d. Donner la largeur temporelle de l'impulsion au plan (
).
e. Application : On envoie une impulsion lumineuse dans ce dispositif telle que . Calculer la durée de l'impulsion
.
3.1. En comparant à l'unité le terme de second ordre, pour quelles durées
3.2 Le coefficient
a. Calculer la phase accumulée par un rayon associé à
b. En déduire le coefficient
3.3 a. En tenant compte du déphasage
b. En déduire le module du champ.
c. Quelle est la signification du coefficient
d. Donner la largeur temporelle
e. Application : On envoie une impulsion lumineuse dans ce dispositif telle que
