Version interactive avec LaTeX compilé
ÉPREUVE MUTUALISÉE AVEC E3A-POLYTECH ÉPREUVE SPÉCIFIQUE - FILIÈRE MP
INFORMATIQUE
N.B. : le candidat attachera la plus grande importance à la clarté, à la précision et à la concision de la rédaction. Si un candidat est amené à repérer ce qui peut lui sembler être une erreur d'énoncé, il le signalera sur sa copie et devra poursuivre sa composition en expliquant les raisons des initiatives qu'il a été amené à prendre.
RAPPEL DES CONSIGNES
- Utiliser uniquement un stylo noir ou bleu foncé non effaçable pour la rédaction de votre composition ; d'autres couleurs, excepté le vert, bleu clair ou turquoise, peuvent être utilisées, mais exclusivement pour les schémas et la mise en évidence des résultats.
- Ne pas utiliser de correcteur.
- Écrire le mot FIN à la fin de votre composition.
Les calculatrices sont interdites.
Le sujet est composé de trois parties indépendantes.
Partie I- Coloration de graphes
L'objectif de cette partie est de proposer une implémentation en Python d'une solution au problème de coloration d'un graphe.
l. 1 - Définitions et propriétés
Soit
un graphe fini non orienté avec
son ensemble de sommets et
son ensemble d'arêtes. On suppose que le graphe est simple c'est-à-dire qu'il ne comporte pas de boucles et que chaque paire de sommets est reliée par au plus une arête. On note
, le cardinal de l'ensemble
. Les sommets sont numérotés de 0 à
. Étant donné un entier naturel
, une
-coloration des sommets de
est une application
telle que pour chaque arête
d'extrémités
et
. Si
, on considèrera que la couleur
est affectée au sommet
. Si
admet une
-coloration, il est
-coloriable. On définit le nombre chromatique
d'un graphe
fini par
est
-coloriable
.
Une clique est un sous-ensemble de sommets du graphe, adjacents 2 à 2 . On dit qu'un graphe est complet si il est une clique. On notera le graphe complet à p sommets.
On pose est une clique de G
, avec
l'ensemble des entiers naturels.
Une clique est un sous-ensemble de sommets du graphe, adjacents 2 à 2 . On dit qu'un graphe est complet si il est une clique. On notera
On pose

Figure 1 - de gauche à doite, le graphe
et le graphe
Q1. Le graphe
de la figure 1 ci-dessus est-il 2-coloriable ? Justifier votre réponse.
Q2. Pour un entier naturel , déterminer le nombre chromatique du graphe
.
Q3. Montrer que pour tout graphe à
sommets, on a
.
Q2. Pour un entier naturel
Q3. Montrer que pour tout graphe
1.2 - Algorithmique et programmation en Python (Informatique Commune)
La coloration d'un graphe
avec
couleurs est un problème complexe. Dans cette sous-partie, nous présentons une heuristique permettant de construire une coloration d'un graphe donné.
Dans la suite, on implémente un graphe par un dictionnaire (type dict en Python), contenant les listes d'adjacence des sommets. Les clés du dictionnaire sont les numéros des sommets et la valeur correspondant à la clé i du dictionnaire est la liste d'adjacence du sommet numéro i. Notons qu'il serait ici possible d'implémenter le graphe par des listes d'adjacence dans un tableau, dans la mesure où les sommets sont numérotés de 0 à .
Dans la suite, on implémente un graphe par un dictionnaire (type dict en Python), contenant les listes d'adjacence des sommets. Les clés du dictionnaire sont les numéros des sommets et la valeur correspondant à la clé i du dictionnaire est la liste d'adjacence du sommet numéro i. Notons qu'il serait ici possible d'implémenter le graphe par des listes d'adjacence dans un tableau, dans la mesure où les sommets sont numérotés de 0 à
Q4. Définir en Python le dictionnaire d1 correspondant au graphe
.
Q5. Écrire une fonction Python degres_sommets(d) qui prend en paramètre un dictionnaire représentant un graphe et renvoie une liste de couples (di,i), i étant le numéro d'un sommet parcourant l'ensemble
et di le degré du sommet i .
Q5. Écrire une fonction Python degres_sommets(d) qui prend en paramètre un dictionnaire
Q6. On suppose qu'on dispose d'une fonction Python tri (1) qui trie une liste de couples 1 dans l'ordre décroissant par rapport à la première composante du couple. En déduire une fonction tri_degres (d) qui prend en paramètre un dictionnaire d représentant un graphe et renvoie une liste contenant les numéros des sommets, triés par degrés décroissants.
Q7. Écrire une fonction Python test
qui prend en paramètre un dictionnaire
représentant un graphe
, un dictionnaire c dont les clés représentent les sommets du graphe
et les valeurs, leurs couleurs. La fonction renvoie True si c est une 2-coloration pour
.
On considère ci-dessous, l'algorithme de coloriage de Welsh-Powel.
Algorithme 1: Welsh-Powel (coloration de graphe)
Entrée : un graphe G à n sommets
Sortie : liste d'entiers contenant en position i la couleur du sommet numéro i
Début
Ordonner les sommets selon les degrés décroissants dans une liste li;
colorie : dictionnaire vide qui à terme, associera à chaque clé i, la couleur du sommet i;
Tant qu' il reste des sommets à colorier faire
Chercher dans li le premier sommet non colorié et le colorier avec la plus petite couleur
c non utilisée ;
Colorier avec cette même couleur, en respectant leur ordre dans li, tous les sommets
non coloriés et non adjacents à des sommets de couleur c;
Fin
Retourner colorie
Fin
Q8. Que contient colorie si on déroule l'algorithme de coloriage ci-dessus avec le graphe
en entrée?
Q9. Écrire une fonction Python adjacent
qui prend en paramètre un graphe représenté par un dictionnaire
, un dictionnaire dc contenant la couleur des sommets coloriés, le numéro d'un sommet
, une couleur
et renvoie True si le sommet
est adjacent à l'un des sommets de couleur c, False sinon.
Q10. Proposer une implémentation en Python de l'algorithme de Welsh-Powel.
Application
Le tableau ci-dessous représente les liens d'amitiés entre huit étudiants : Alice (A), Béatrice (B), Carl (C), David (D), Eloïs (E), Fanny (F), Gary(G) et Hedge (H).
| Prénom |
|
|
|
|
|
|
|
|
| Ami
|
|
|
|
|
|
|
|
|
On souhaite créer des groupes de travail. Dans le contexte de l'application, un groupe contient au moins 2 étudiants tel que chaque étudiant soit dans un groupe différent de celui de ses amis.
Q11. Modéliser la situation par un graphe et en déduire une solution.
Q11. Modéliser la situation par un graphe et en déduire une solution.
Partie II - Satisfiabilité d'une formule propositionnelle
Le langage utilisé dans cette partie est OCaml.
Une formule propositionnelle est construite à l'aide de constantes propositionnelles, de variables propositionnelles et de connecteurs logiques. Les connecteurs logiques seront notés
(négation),
(conjonction),
(disjonction). Dans cette partie, on étudie le problème de satisfiabilité d'une formule et son application à la détermination d'une conséquence logique entre 2 formules propositionnelles. Le problème CNF-SAT est défini de la façon suivante. Étant donné une formule sous forme normale conjonctive, admet-elle un modèle, c'est-à-dire une valuation des variables, qui rende la formule vraie? On souhaite écrire un programme qui teste si une valuation donnée rend une telle formule vraie.
Dans cette partie, on considère que si une formule contient variables propositionnelles, elles seront désignées par
.
On définit le type OCaml suivant :
type clause=Var of int|Non of clause | Ou of clause*clause
L'argument du constructeur Var correspond au numéro de la variable concernée.
Une formule sous forme normale conjonctive ayant clauses sera implémentée par une liste de
clauses. Les tableaux seront implémentés par le module Array dont les éléments suivants pourront être utilisés :
Dans cette partie, on considère que si une formule contient
On définit le type OCaml suivant :
type clause=Var of int|Non of clause | Ou of clause*clause
L'argument du constructeur Var correspond au numéro de la variable concernée.
Une formule sous forme normale conjonctive ayant
- type 'a array, notations [| |]
- création d'un tableau: make : int -> 'a -> 'a array
- accès à l'élément d'indice i du tableau t : t. (i)
- modification de l'élément placé à l'indice i du tableau t : t. (i) <- v
- taille du tableau: length : 'a array
int
Q12. Donner le code OCaml correspondant à la clause
.
Q13. Donner le code OCaml permettant de définir la formule : .
Q14. Écrire une fonction de signature evalue_clause : clause -> bool array -> bool qui prend en paramètre une clause et une valuation représentée par un tableau contenant à l'indice , la valeur de vérité de la variable
et renvoie la valeur de vérité de la clause.
Q13. Donner le code OCaml permettant de définir la formule :
Q14. Écrire une fonction de signature evalue_clause : clause -> bool array -> bool qui prend en paramètre une clause et une valuation représentée par un tableau contenant à l'indice
Q15. Écrire une fonction de signature evalue_FNC : clause list -> bool array -> bool qui prend en paramètre une clause et une valuation représentée par un tableau contenant à l'indice
, la valeur de vérité de la variable
et évalue une formule donnée sous forme normale conjonctive.
Q16. Quel résultat obtient-on avec la formule
et le tableau de valuations [|false; true; true|]? Justifier.
Q17. On souhaite énumérer toutes les valuations possibles pour un nombre de variables fixé. Étant donné une valuation, on considérera que si la valeur true correspond à 1 et la valeur false correspond à 0 , la valuation suivante correspond à l'ajout de 1 au nombre binaire associé. Ainsi, la valuation suivante de [|false;true;falsel] est [|false;true;true|]. On considère que la valuation suivante de [|true; true; true|] n'existe pas. Écrire une fonction de signature suivant : bool array
bool qui prend en paramètre un tableau de booléens, lui attribue la valuation "suivante" si possible et renvoie true; sinon renvoie false.
Q18. En déduire une fonction de signature satisfiable : clause list
int
bool qui prend en paramètre une formule en forme normale conjonctive, son nombre de variables et renvoie true si il existe une valuation qui rend la formule vraie, false sinon.
Q19. Quelle est la complexité en temps de cette fonction par rapport aux paramètres d'entrée?
Q20. Proposer une stratégie de retour sur trace pour résoudre le problème de satisfiabilité d'une formule.
Q20. Proposer une stratégie de retour sur trace pour résoudre le problème de satisfiabilité d'une formule.
Conséquence logique entre 2 formules
Définition
Une formule
est une conséquence logique d'un ensemble fini de
formules
étant un entier naturel supérieur ou égal à 1 , si tout modèle de
est un modèle de
. On note
. On admettra que toute formule admet une formule équivalente sous forme normale conjonctive.
Q21. Déduire de la fonction précédente, un algorithme en pseudo-code permettant de déterminer si une formule
est une conséquence logique d'un ensemble de formules
.
Q22. Afin de déterminer si
, on peut prouver le séquent
. Justifier cette méthode, puis construire un arbre de preuve qui démontre le séquent
où
désignent des variables propositionnelles représentant des formules logiques, à partir des règles d'inférence de la déduction naturelle; les règles et notations utilisées seront clairement mentionnées.
Partie III - Automates et reconnaissance de motifs
Dans cette partie, le langage utilisé est OCaml.
On s'intéresse à la reconnaissance de motifs dans un texte en utilisant une méthode naïve, puis des automates.
III. 1 - Autour de l'algorithme naïf de recherche de caractères
Définitions
Un alphabet
est un ensemble fini non vide d'éléments appelés lettres. Un mot défini sur
est une suite finie d'éléments de
. Le mot vide sera noté
. L'ensemble des mots sur l'alphabet
est noté
. La longueur d'un mot
, notée
est le nombre de lettres de ce mot. Pour i allant de 0 à
,
désignera la lettre en position
. Ainsi,
est un mot de longueur 3, sur tout alphabet contenant les lettres
et
.
Un mot est un facteur d'un mot
si il existe 2 mots
et
tels que
. Dans ce cas, on dit qu'il y a une occurrence de
dans
. Quand
est un préfixe de
et quand
est un suffixe de
. Soit
un mot non vide. Un entier
est une période de
si
pour
. On définit la période de
comme étant la plus petite des périodes.
Un bord d'un mot non vide est un facteur de
, différent de
et qui est à la fois un préfixe et un suffixe de la chaîne de caractères. Par exemple,
, a,aa,aabaa sont les bords du mot aabaabaa. On note
le plus long bord de
. On constate que lorsqu'il est défini, le bord d'un bord d'un mot
est aussi un bord de
. On le note
. On définit ainsi récursivement
avec
un entier naturel.
Un mot
Un bord d'un mot non vide
En OCaml, les fonctions suivantes pourront être utilisées sur le type string:
- String. length : longueur de la chaîne de caractères
- s. [i] : accès à la lettre d'indice
de la chaîne -
- : opérateur concaténation
Q23. Justifier le fait que tout mot non vide possède au moins une période.
Q24. Écrire une fonction de signature occurrence : string string
bool qui prend en paramètre 2 chaînes de caractères x , y et renvoie true si il existe une occurrence de x dans y, false sinon.
Q24. Écrire une fonction de signature occurrence : string
Q25. Quelle est la complexité en temps de la fonction occurrence en fonction de la longueur des chaînes de caractères en entrée?
Q26. Déterminer la période du mot
aabaabaa défini sur l'alphabet
.
Q27. Écrire une fonction de signature periode : string -> int qui renvoie la période d'une chaîne de caractères.
Q27. Écrire une fonction de signature periode : string -> int qui renvoie la période d'une chaîne de caractères.
Q28. Soit
une chaîne de caractères non vide et
un entier naturel tel que
. Montrer que
est une période de
si et seulement si il existe 3 chaînes de caractères
telles que
et
.
Q29. Soit
une chaîne de caractères non vide et
le plus grand entier tel que
est bien défini. On a donc
. Montrer par récurrence sur la longueur des mots que
est la suite des bords de
dans l'ordre décroissant de leur longueur et que
est la suite des périodes de
dans l'ordre croissant.
Q30. Expliquer brièvement comment la connaissance des bords peut permettre d'améliorer la complexité en temps dans le pire cas, de l'algorithme naïf de recherche d'une occurrence d'un mot.
III. 2 - Localisation des occurrences d'un motif à l'aide d'un automate
Un automate déterministe
sur l'alphabet
est composé d'un ensemble d'états finis
, d'un état initial
, d'un ensemble d'états terminaux
et d'une fonction de transitions
. On le désigne par un quintuplet (
). On dit qu'il est complet si
est définie pour chaque élément de
.
Certains automates peuvent être utilisés comme machine de recherche pour le traitement séquentiel de textes. Étant donné un alphabet , un motif
représente un langage non vide ne contenant pas le mot vide. Le problème de la recherche de motifs est celui de la localisation d'occurrences de mots du langage dans d'autres mots. On suppose qu'on dispose d'un automate déterministe
complet qui reconnaît le langage
, autrement dit, l'automate
reconnaît les mots qui ont comme suffixe un mot de
.
L'algorithme suivant permet de localiser les mots de reconnus dans un texte
, considéré comme une chaîne de caractères.
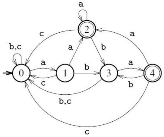
Dans la suite, l'automate de la figure 2 ci-après sera cité en exemple. Il est défini sur l'alphabet
Certains automates peuvent être utilisés comme machine de recherche pour le traitement séquentiel de textes. Étant donné un alphabet
L'algorithme suivant permet de localiser les mots de
Dans la suite, l'automate
Algorithme 2 : reconnaissance de mots dans un texte
Cherche ( $M, t$ ) ;
Début
$\mathrm{e} \leftarrow$ initial[M];
lst $\leftarrow$ liste vide;
Pour chaque lettre $\lambda$ de $t$ prise dans l'ordre croissant de leurs indices faire
$\mathrm{e} \leftarrow \delta(\mathrm{e}, \lambda)$;
Si e est un état terminal alors
ajouter à lst l'indice de $\lambda$ dans t ;
Fin
Fin
Retourner lst;
Fin

Figure 2 - Automate
On définit en OCaml un type automate par :
type auto={etats: int list; alphabet : char list; initial: int;
transition: int -> char ->int; final : int list}; ;
Q31. Créer une variable automate qui représente l'automate de la figure 2.
Q32. L' automate est-il émondé? Justifier.
Q33. Présenter les premières étapes de l'algorithme d'élimination des états appliqué à l'automate . On éliminera l'état 0 .
type auto={etats: int list; alphabet : char list; initial: int;
transition: int -> char ->int; final : int list}; ;
Q31. Créer une variable automate qui représente l'automate
Q32. L' automate
Q33. Présenter les premières étapes de l'algorithme d'élimination des états appliqué à l'automate
Q34. Que représentent les indices mémorisés dans la liste lst de l'algorithme cherche? Que contient la liste 1 de l'algorithme cherche avec l'automate ci-dessus et
cabaac?
Q35. Écrire une fonction de signature cherche : auto -> string -> int list qui implémente l'algorithme cherche.
Q36. Montrer la correction de l'algorithme cherche.
